Análise combinatória Flashcards

(44 cards)

1
Q

A contagem pode ser divida em processos seletivos e processos não seletivos ?

A

Verdadeiro.

How well did you know this?
1
Not at all
2
3
4
5
Perfectly
2
Q

Processos não seletivos consistem em permutações ?

A

Verdadeiro.

How well did you know this?
1
Not at all
2
3
4
5
Perfectly
3
Q

Processos seletivos consistem em arranjos e combinações ?

A

Verdadeiro.

How well did you know this?
1
Not at all
2
3
4
5
Perfectly
4
Q

Em processos seletivos, todos os elementos do conjunto serão utilizados ?

A

Falso, em processos seletivos irá ocorrer uma seleção dos elementos, ou seja, nem todos os elementos do conjunto serão utilizados na formulação de uma resposta.

How well did you know this?
1
Not at all
2
3
4
5
Perfectly
5
Q

Em permutações, nenhum elemento do conjunto ficará de fora da resposta ?

A

Verdadeiro.

How well did you know this?
1
Not at all
2
3
4
5
Perfectly
6
Q

Em arranjos irá ocorrer um processo seletivo, ou seja, nem todos os elementos do conjunto em análise irão fazer parte da resposta ?

A

Verdadeiro.

How well did you know this?
1
Not at all
2
3
4
5
Perfectly
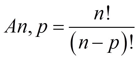
7
Q

Qual a fórmula para calcularmos um arranjo simples ?

A
How well did you know this?
1
Not at all
2
3
4
5
Perfectly
8
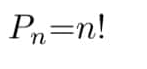
Q

Qual a fórmula para calcularmos uma permutação simples ?

A
How well did you know this?
1
Not at all
2
3
4
5
Perfectly
9
Q

Quando temos casos simples de arranjo ou permutação podemos utilizar as suas respectivas fórmulas ?

A

Verdadeiro.

How well did you know this?
1
Not at all
2
3
4
5
Perfectly
10
Q

Quando meu problema impõem condições específicas, não será possível resolver o exercício apenas por fórmulas de arranjo simples ou permutação simples ?

A

Verdadeiro.

How well did you know this?
1
Not at all
2
3
4
5
Perfectly
11
Q

Chama-se arranjo simples e permutação simples casos que não impõem condições de restrição específicas ?

A

Verdadeiro.

How well did you know this?
1
Not at all
2
3
4
5
Perfectly
12
Q

Considerando a palavra MARTELO, quantos são os anagramas dessa palavra ?

A

Obs: neste caso podemos utilizar a fórmula de permutação simples.

How well did you know this?
1
Not at all
2
3
4
5
Perfectly
13
Q

Considerando a palavra MARTELO, quantos anagramas dessas palavra começam por uma vogal ?

A

Obs: neste caso não podemos utilizar a fórmula de permutação simples, pois o exercício impõem restrições.

How well did you know this?
1
Not at all
2
3
4
5
Perfectly
14
Q

Qual o resultado de 7!

A

5040

How well did you know this?
1
Not at all
2
3
4
5
Perfectly
15
Q

Qual o resultado de 6!

A

720

How well did you know this?
1
Not at all
2
3
4
5
Perfectly
16
Q

Qual o resultado de 0!

A

1

How well did you know this?
1
Not at all
2
3
4
5
Perfectly
17
Q

Newton possui 7 livros distintos, sendo 3 de Algebra , 2 de cálculo e 2 de geometria . O número de maneiras diferentes que Newton pode organizar esses livros em uma estante, de forma que os livros de mesmo assunto permaneçam juntos é ?

A

Obs: devemos lembrar do “pacotão” nesse tipo de exercício.

How well did you know this?
1
Not at all
2
3
4
5
Perfectly
18
Q

Quando temos permutações com repetições, qual fórmula podemos usar ?

19
Q

Em exercícios que envolvem combinação, podemos utilizar “tracinhos” ?

A

Falso, em exercícios que envolvem combinação, não podemos utilizar “tracinhos”, pois não envolve ordem.

20
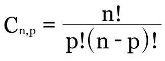
Q

Qual a fórmula para calcularmos uma combinação ?

21
Q

Em exercícios que envolvem combinação, a ordem dos elementos importa ?

A

Falso, em exercícios que envolvem combinação, a ordem dos elementos não é relevante.

22
Q

Escolher 1 é o próprio número de elementos disponíveis ?

23
Q

Escolher mais que um elemento disponível é combinar ?

24
Q

Colocar em ordem os elementos disponíveis é arranjar ?

25
Podemos dizer que exercícios que geralmente envolvem lotérica, como a Mega-sena, são exercícios de combinação numérica ?
Verdadeiro.
26
Qual a fórmula para calcularmos uma permutação circular ?
27
Qual a fórmula de combinações com repetições ?
28
Quantos anagramas são possíveis formar com a palavra CARAVELAS, não havendo duas vogais consecutivas e nem duas consoantes consecutivas ?
29
Alternativa D.
30
31
32
33
34
35
36
37
Em análise combinatória, a conjunção "e" significa soma ?
Falso, a conjunção "e" significa multiplicação.
38
Em análise combinatória, a conjunção "ou" significa soma ?
Verdadeiro.
39
Obs: neste caso devemos usara fórmula de combinação com repetição.
40
Obs: neste caso devemos utilizar a fórmula de permutação circular.
41
42
Alternativa A.
43
Obs: devemos lembrar que ao formarmos um "pacotão" este passará a se comportar como apenas um único elemento, ou seja, irá ocupar um único "traço" no arranjo.
44