How is beta defined
covar(r,m)/Var(m)
Is a high beta stock more likely to be a technology firm or a utility company?
High beta stocks react more violently to movements in the broad market than low beta stocks. On the basis of recent experience, this is more likely to apply to technology stocks than to utility stocks.
Define Residual Claimant
Residual Claimants are the claimants (among a group of claimants) who would receive their claims after claims of all other claimants have been paid off
Why may shareholders not follow the NPV rule?
If investments change debt value (shareholders are not residual claimants) or if there is a financing gain
What is the annuity formula?

What are the axis of the Capital Market Line?
Return (not excess return) on the y-axis, standard deviation on the x-axis
What is a key requirement for using the CE-CAPM?
That you are willing to estimate covariance of cash flows and the market.
Derive the CE CAPM

State the CE CAPM

When is it a good idea to use real-risk free rates?
When inflation is very high
What are some solutions, if there is no risk-free rate available?
Use a large corporate bond (or basket) and reduce by AAA spread (about 1%)
Use other country. Use forward currency markets to impute a risk-free local currency rate
Use government bond rating to determine their spread over a rf
What are some commonly used risk-free rate estimates?
90-day t-bill and 10-year T-bond. These have high liquidity. Use the one that matches duration of assets the best
What is a key condition for risk-free rate estimate to matter?
That market beta is very different from 1. From beta is different from 1, risk-free rate impacts both intercept and slope on security market line
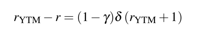
When will YTM and cost of debt differ?
Whenever the expected payment is not equal to the promised payment. YTM can heavily exceed expected return on debt, if there is high default risk
Derive the “Quick and Dirty” adjustment to YTM

State the quick and dirty adjustment to YTM

What are some problems with calculating debt betas from credit ratings
Credit rating do not only reflect systematic risk (also idiosyncratic default risk)
Companies may issue various bonds with different credit ratings. Not clear which one to use.
What are the formulas for levering and unlevering debt?
1) The Hamada. Constant debt levels. Debt provides tax shield. Debt is risk-free
2) The Harris-Pringle. Constant debt ratio. Debt is not risk-free.
What is the Hamada Formula?

What is the Harris-Pringle formula?

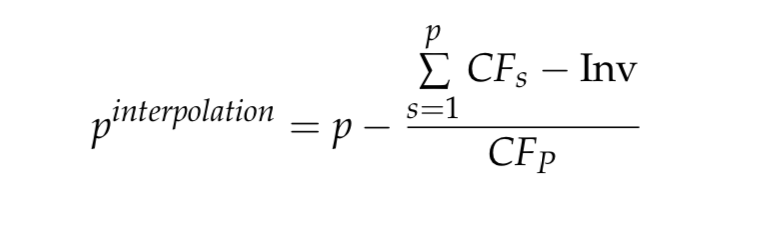
Explain interpolated payback
It is the normal payback plus a correction, such that if the project cash flows in p are greater than what it takes to break even, the payback will be adjusted downards.

Explain MIRR
It is similar to IRR, but all outflows are discounted to period 0 at at a financing rate, and all inflows are pushed to period T (final period) with a reinvestment rate. The MIRR is than calculated as an IRR of a project with only two cash flows
Discuss the relevance of the payback criterion
It is a measure that will often conflict with the NPV rule. There may be very high cash flows after the firm breaks even. It can work as heuristic rule in simple situations, e.g. if cash flows are even, a payback criterion of 1/r is consistent with the NPV rule
What are some problems with IRR?
1) It assumes that investors like higher interest rates. With periodic negative cash flows, this may not hold true
2) IRR assumes cash flows can be reinvested at the IRR rate
3) Comparability is often rather low
4) When cash flows change sign many times, projects can have multiple IRRs