Macroeconomics Flashcards

(17 cards)

1
Q

GDP Measure: Sum of value added

A
Sum of all the value added
How well did you know this?
1
Not at all
2
3
4
5
Perfectly
2
Q

GDP Measure: Expenditures

A
Consumption + Investment + Government spending + (Net Exports)
How well did you know this?
1
Not at all
2
3
4
5
Perfectly
3
Q

GDP Measure: Income

A
Sum of the cost of labour + The sum of the cost of capital
How well did you know this?
1
Not at all
2
3
4
5
Perfectly
4
Q

What are the three GDP measures?

A
  • Sum of Value added
  • Expenditure method
  • Income method
How well did you know this?
1
Not at all
2
3
4
5
Perfectly
5
Q

Function for GDP Growth

A
Y=GDP, A=TFP, K=Capital, L=Labor
How well did you know this?
1
Not at all
2
3
4
5
Perfectly
6
Q

Output per person?

A
Y=GDP, L=Labor, A=TFP, K=Capital
How well did you know this?
1
Not at all
2
3
4
5
Perfectly
7
Q

Quantity theory of Money

A

MV = PT

Amount of Money X Velocity = Avg. Price X No. of Transactions

How well did you know this?
1
Not at all
2
3
4
5
Perfectly
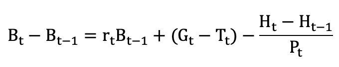
8
Q

Government Budget Identity

A
Chg in govt debt = Interest Payments + Primary Deficit - Seignorage
How well did you know this?
1
Not at all
2
3
4
5
Perfectly
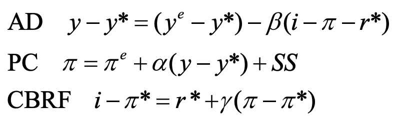
9
Q

IS Curve
(Aggregate Demand)

A
Demand rel. to y* = Exp. Demand rel. to y* - Real interest rates rel. to r* [long run real rates]
How well did you know this?
1
Not at all
2
3
4
5
Perfectly
10
Q

Phillips Curve
(inflation)

A
Inflation = Expected Inflation + Impact of "Output Gap" + Price or Supply Shocks ie (matching rival prices) + (chg in internal costs, eg hours worked) + (external changes to inputs & outputs, eg wages)
How well did you know this?
1
Not at all
2
3
4
5
Perfectly
11
Q

Central Bank Reaction Function

A
Approx. Real Interest rates [Nominal Rate - Tgt. inflation] = Long term rate + Inflation [Nat. Real Rate + 𝛾 * Infl. Rel. to Target]
How well did you know this?
1
Not at all
2
3
4
5
Perfectly
12
Q

Law of one price

A
Q=Competitiveness, e=Exchange rate, P*=Foreign Prices, P=Domestic Prices
How well did you know this?
1
Not at all
2
3
4
5
Perfectly
13
Q

Uncovered interest rate parity (UIP)

A
Interest rates - foreign interest rates = (Expectation of future nominal exchange rate / Nominal exc
How well did you know this?
1
Not at all
2
3
4
5
Perfectly
14
Q

What are: ⍺, β and γ

A
  • = Sensitivity to y - y*
  • β = Sensitivity to i + RP - π - r*
  • γ = Sensitivity to π - π*
How well did you know this?
1
Not at all
2
3
4
5
Perfectly
15
Q

How is ‘value added’ defined

A

Value added is defined as total sales less intermediate inputs

How well did you know this?
1
Not at all
2
3
4
5
Perfectly
16
Q

The Four Main Models

A
  1. Keynes (Y=C+I+G)
  2. Plus Inflation (Phillips curve)
  3. Demand & Therefore interest rates (IS Curve)
  4. Central Banks (CBRF
17
Q

The three curves for the 4 models