Mathematics B Flashcards

(44 cards)

1
Q

continuous > continuous > ?

A

Regressions

How well did you know this?
1
Not at all
2
3
4
5
Perfectly
2
Q

continuous > discrete > ?

A

Logistic Regressions

How well did you know this?
1
Not at all
2
3
4
5
Perfectly
3
Q

Discrete > continuous > normal > 2 grp > unpaired

A

T-Test

How well did you know this?
1
Not at all
2
3
4
5
Perfectly
4
Q

Discrete > continuous > normal > 2 grp > paired

A

Paired T-Test

How well did you know this?
1
Not at all
2
3
4
5
Perfectly
5
Q

Discrete > Continuous > Normal > >2 grp

A

ANOVA

How well did you know this?
1
Not at all
2
3
4
5
Perfectly
6
Q

Discrete > Continuous > Skewed > 2 grp > Unpaired

A

Mann-Whitney UTest

How well did you know this?
1
Not at all
2
3
4
5
Perfectly
7
Q

Discrete > Continuous > Skewed > 2 grp > Paired

A

Wilcoxon Signed Rank Test

How well did you know this?
1
Not at all
2
3
4
5
Perfectly
8
Q

Discrete > Continuous > Skewed > >2 grp > Unpaired

A

Kruskall-Wallis Test

How well did you know this?
1
Not at all
2
3
4
5
Perfectly
9
Q

Discrete > Continuous > Skewed > >2grp > Paired

A

Friiedman Test

How well did you know this?
1
Not at all
2
3
4
5
Perfectly
10
Q

Discrete > Discrete > 2 grp > Unpaired > Counts >= 5 in >= 75% of cells

A

Chi-square Test

How well did you know this?
1
Not at all
2
3
4
5
Perfectly
11
Q

Discrete > Discrete > 2 grp > Unpaired > Counts >=5 in < 75% of cells

A

Fisher’s Exact Test

How well did you know this?
1
Not at all
2
3
4
5
Perfectly
12
Q

Discrete > Discrete > 2 grp > Paired

A

McNemar’s Test

How well did you know this?
1
Not at all
2
3
4
5
Perfectly
13
Q

Discrete > Discrete > >2 grp

A

Chi-square Test

How well did you know this?
1
Not at all
2
3
4
5
Perfectly
14
Q

What is the Euclidean Norm of a vector?

A

Its magnitude

How well did you know this?
1
Not at all
2
3
4
5
Perfectly
15
Q

How would you turn a vector into a unit vector?

A

Divide it by its magnitude

How well did you know this?
1
Not at all
2
3
4
5
Perfectly
16
Q

How to find the distance between two vectors?

A

Subtract them and find the magnitude of the resulting vector

How well did you know this?
1
Not at all
2
3
4
5
Perfectly
17
Q

What is the triangle inequality?

A

The magnitude of the sum of two vectors is the same as or smaller than the sum of the magnitude of those two vectors

How well did you know this?
1
Not at all
2
3
4
5
Perfectly
18
Q

Angle between two vectors?

A

u.v = |u||v|cos(theta)

19
Q

What do the values of the dot product mean?

A

-1/1 = parallel. 0 = orthogonal

20
Q

What does the dot product of a vector and a unit vector give?

A

The distance along the unit vector that is the closest to the end of the other vector (connects at a right angle)

21
Q

What does the cross product of two vectors produce?

A

A vector that is orthogonal to both of them. Only works in 3D

22
Q

How to find vector orthogonal to 2 other vectors?

A

Matrix with top row (i, j, k). Other two rows are the vectors. Find determinant and that’s the vector.

23
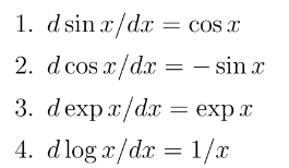
Q

Derivatives of special functions?

24
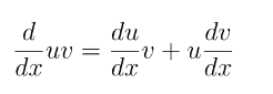
Q

Product Rule?

25
Quotient Rule?
26
Chain Rule?
27
What is a smooth function?
A function with a gradient defined for every X
28
What is a critical point?
A point where the derivative is zero
29
What is the rate of change of a function along a vector?
30
What is the trace?
The sum of the leading diagonal values of a matrix
31
What is the Hessian?
32
How do you determine the gradient of a point of a multivariable function?
The eigenvalues of the Hessian represent the different gradients. E.g. if all eigenvalues are >0 then the point is a minimum.
33
What are the eigenvalues of a diagonal matrix?
Simply the values of the leading diagonal!
34
What is the shortcut for 2x2 Hessians?
Use the determinant and trace! Negative determinant means saddle point. Positive determinant and negative trace means maximum, positive determinant and positive trace means minimum. Determinant of zero means Hessian alone isn't enough to tell you what's happening.
35
What is the taylor expansion?
36
What is the conjugate of an imaginary number?
The result of flipping the sign of the imaginary part
37
How do you divide by an imaginary number?
Multiply the result by Z*/Z*
38
How to convert between polar and co-ordinate form?
39
What are the forms of complex numbers?
40
What is the formula for optimisation via gradient descent?
41
General solution for:
42
How to solve:
43
How to solve:
Multiply by this to get it into product rule form
44
How to solve: