State the formula of future value

State the formula of present value

State the formula of discount factor

State a formula showing the relationship between present values and discount factors

State the formula of Net Present Value (NPV)

State the formula for perpetuity

Proof of PV of perpetuity

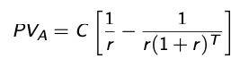
State the formula for annuity

State the formula for perpetuity with growth

Proof of perpetuity with growth

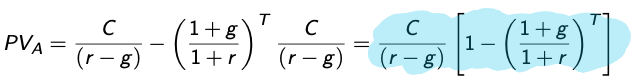
State the formula for annuity with growth

State the formula for present value for continuous discounting
