Statistics Subject Review Flashcards

(50 cards)

1
Q

What method might be used to avoid bias in a clinical study?

a. Exclude patients from the study if the investigator would know their status.

b. Make interviewers aware of patients’ study status to tailor questions appropriately.

c. Predetermine assignments of patients to study cohorts.

d. Select patients randomly using rigorous criteria to avoid confounding results

A

d. Select patients randomly using rigorous criteria to avoid confounding results

How well did you know this?
1
Not at all
2
3
4
5
Perfectly
2
Q

Two events, A and B, are independent. The probability of A is 0.2, the probability of B is 0.3. What is the probability of A and B?

a. 0.06

b. 0.23

c. 0.32

d. 0.50

A

a. 0.06

The events are independent, so the probability of both events is the product of the individual probabilities.
0.2 × 0.3 = 0.06

How well did you know this?
1
Not at all
2
3
4
5
Perfectly
3
Q

Case:
A researcher wants to study the effects of a new drug on people with heart disease. They acquire a random sample of local volunteers with heart disease using a random number generator. For the first trial study, the researcher randomly assigns each participant to the control group or the treatment group—by a coin toss—and gives each a placebo or the trial drug, respectively, then monitors and evaluates the results.

Question:
To what population can the results of this study be applied?

a. All local people with heart disease

b. All local people with or without heart disease

c. All people with heart disease

d. All people with or without heart disease

A

a. All local people with heart disease

How well did you know this?
1
Not at all
2
3
4
5
Perfectly
4
Q

What are the first quartile, second quartile, and third quartile of the following data set?

9, 5, 3, 7, 14, 5, 12

a. 3, 9, 14

b. 5, 7, 12

c. 9, 12, 14

d. 12, 5, 7

A

b. 5, 7, 12

How well did you know this?
1
Not at all
2
3
4
5
Perfectly
4
Q

The table below shows the street crime data of 5 cities. The xi column shows the number of cell phones stolen last year in the City i. The yi column shows the number of vehicles stolen last year in the City i.

What is the regression equation for this data?

a. ˆy = 0.6x + 30.2

b. ˆy = 0.8x + 22.4

c. ˆy = 0.5x + 20.7

d. ˆy = 0.3x + 10.8

A

a. ˆy = 0.6x + 30.2

How well did you know this?
1
Not at all
2
3
4
5
Perfectly
5
Q

When is the point estimator A a more efficient estimator for a given parameter than the point estimator B?

a. Both A and B have equal variance, but A is easier for a computer to calculate.

b. Point estimator A requires a smaller sample size to estimate B than calculating B requires.

c. The variance of A is always greater than the variance of B.

d. The variance of A is always less than the variance of B.

A

d. The variance of A is always less than the variance of B.

How well did you know this?
1
Not at all
2
3
4
5
Perfectly
6
Q

Case:
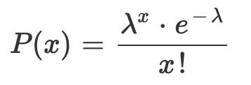
The Poisson Distribution is used to describe the probability that a certain number of successes will occur in a given amount of time. The distribution has only one parameter, which measures the average rate of successful events (known as lambda ‘lambda’ typically), and gives the probability of seeing ‘x’ successes.

The probability function of the Poisson distribution is defined as:
(the picture)
and is interpreted as “the probability of seeing exactly x number of successes”.

You are responsible for managing the emergency department of a small urgent care facility and are currently assigned to oversee the night shift. You have determined that 1 nurse needs to be on staff for every 3 patients. You currently have only 1 nurse on staff for this shift.

Because patients enter the ED randomly, you have determined that the Poisson distribution will describe the number of patients you are likely to receive. Based on past data, you realize that patients enter the ED at an average rate of 2 per shift.

Question:
What is the probability that you will exceed the number of patients that you can care for?

a. 0.14

b. 0.18

c. 0.86

d. You will never have more than 2 patients.

A

a. 0.14

How well did you know this?
1
Not at all
2
3
4
5
Perfectly
7
Q
A
How well did you know this?
1
Not at all
2
3
4
5
Perfectly
8
Q

Considering a test of the null and alternative hypotheses, what statement is correct?

a. Both the null and alternative hypotheses must be true.

b. Exactly one hypothesis must be true.

c. It is possible for both the null and alternative hypotheses to be true.

d. It is possible for neither the null or alternative hypotheses to be true.

A

b. Exactly one hypothesis must be true.

How well did you know this?
1
Not at all
2
3
4
5
Perfectly
9
Q

Case:
A survey population was asked, “How many minutes do you need to get ready for a party?” The responses of 15 men and 15 women have been recorded randomly.

Question:
What relationship exists among the survey responses?

a. Men take 1 minute 30 seconds longer than women on average.

b. Men take 1 minute 18 seconds longer than women on average.

c. Women take 1 minute 30 seconds longer than men on average.

d. Women take 1 minute 18 seconds longer than men on average.

A

d. Women take 1 minute 18 seconds longer than men on average.

How well did you know this?
1
Not at all
2
3
4
5
Perfectly
10
Q

A machine produces items. Each item is independently produced and has a 5% chance of failing quality control checks. If 1000 items are produced during a shift, what is the expected number of good items?

a. 7

b. 50

c. 950

d. 1000

A

c. 950

How well did you know this?
1
Not at all
2
3
4
5
Perfectly
10
Q

Case:
1000 students took an exam. The results are normally distributed with mean 72 and standard deviation 4.

The following values are from a table of the normal cumulative distribution function.

Question:
What is the probability that a student scored higher than a 68 on the exam?

a. 15.87%

b. 50%

c. 84.13%

d. 99.87%

A

c. 84.13%

How well did you know this?
1
Not at all
2
3
4
5
Perfectly
11
Q

Case:
When astronauts have recently returned to Earth, their bodies have a harder time regulating their blood pressure during position changes due to a temporary suppression of their otolith system. Two days after returning from space, astronauts on average have a standing pulse pressure value of 41.7 mm Hg, with a standard deviation of 16.8 mm Hg.

Question:
If we take a random sample of 36 astronauts, what is the probability the mean standing pulse pressure will be greater than 43.0 mm Hg?

a. -0.46

b. 0.32

c. 0.46

d. 0.68

A

b. 0.32

How well did you know this?
1
Not at all
2
3
4
5
Perfectly
12
Q

What is the most accurate description of the null hypothesis?

a. Mean differences are observable but attributed to error and sampling.

b. Mean differences observed between populations are significant, true, and valid.

c. There are differences between populations, but they cannot be explained.

d. There are no significant observable differences between populations.

A

d. There are no significant observable differences between populations.

How well did you know this?
1
Not at all
2
3
4
5
Perfectly
13
Q

Two events, A and B, are mutually exclusive. The probability of event A is
1/7. The probability of event B is 1/5. What is the probability of event A or event B?

a. 1/35

b.1/12

c. 11/35

d. 12/35

A

d. 12/35

How well did you know this?
1
Not at all
2
3
4
5
Perfectly
13
Q

A group of 5 people participated in a psychological study performed to assess the relationship between the person’s age and the total number of active hours in a day. Records were taken from each of these people and the results obtained are shown in the table below:

Assuming that the above data represents the populations, what is the correlation coefficient between the age and physical activity hours per day for this sample?

a. -0.9948

b. -0.4974

c. 0.4974

d. 0.9948

A

a. -0.9948

How well did you know this?
1
Not at all
2
3
4
5
Perfectly
13
Q

The linear regression equation has the following general form (without error):

ˆy = b1x + b0

Which variable is a slope and what does it describe?

a. b0 represents the point where the graph crosses the x-axis.

b. b1 represents the point where the graph crosses the x-axis.

c. b0 represents the rate of change in ˆy for one unit increase in x.

d. b1 represents the rate of change of ˆy for one unit increase in x.

A

d. b1 represents the rate of change of ˆy for one unit increase in x.

How well did you know this?
1
Not at all
2
3
4
5
Perfectly
14
Q

How will two confidence intervals (90% and 98%) constructed from the same data compare?

a. The 98% confidence interval is better than the 90% confidence interval.

b. The 98% confidence interval is less likely to include error.

c. The 98% confidence interval will be narrower than the 90% confidence interval.

d. The 98% confidence interval will be wider than the 90% confidence interval.

A

d. The 98% confidence interval will be wider than the 90% confidence interval.

How well did you know this?
1
Not at all
2
3
4
5
Perfectly
15
Q

A Bernoulli random variable consists of a single experiment that can give a yes (1) or a no (0). The probability of a yes is
p, and the probability of a no is (1 − p). You conduct an experiment in which the probability of a 1 is 70%. The probability of a 0 is 30%. What is the expected value of this experiment?

a. 0

b. 0.3

c. 0.7

d. 1

A

c. 0.7

How well did you know this?
1
Not at all
2
3
4
5
Perfectly
16
Q

Why might a two-tailed test be used to test a hypothesis instead of a one-tailed test?

a. It can be performed on smaller sample sizes.

b. It creates no expectation about the direction of effect.

c. It is more likely to return a significant result.

d. It is more powerful than the one-tailed test.

A

b. It creates no expectation about the direction of effect.

How well did you know this?
1
Not at all
2
3
4
5
Perfectly
16
Q

While trying to estimate the proportion of people who like to eat toast with butter, a researcher keeps a running total of how many have said yes and how many have said no. They notice that the proportion tends to change a lot.

How do they ensure a good estimate of the proportion who like to eat toast with butter?

a. Continue collecting observations to increase the sample size.

b. Increase confidence interval on the side of the skewed values.

c. Report that the estimate of the mean is biased.

d. Use a smaller P-value on the test.

A

a. Continue collecting observations to increase the sample size.

17
Q

If the events X and Y are not disjoint, what is true?

a. P(X or Y) = P(X) + P(Y)

b. P(X or Y) = P(X) + P(Y) – P(X and Y)

c. P(X or Y) = P(X) + P(Y) + P(X and Y)

d. P(X or Y) = P(X) P(Y)

A

b. P(X or Y) = P(X) + P(Y) – P(X and Y)

18
Q

The scatter plot shows the relation between two variables. Which of the following is true? Refer to the image.

a. The relation is weak.

b. The slope is positive.

c. The relation is strong and the slope is zero.

d. The relation is strong and the slope is positive.

A

c. The relation is strong and the slope is zero.

18
Q

The table below shows the results of 2 class sections that took a statistics exam and received either an A or B.

What is true about the students who received an A and are in Section 1?

a. Both are dependent because P(from section 1|A grade) = P(from section 1).

b. Both are independent because P(from section 1|A grade) = P(from section 1).

c. Both are dependent because P(from section 1|A grade) ≠ P(from section 1).

d. Both are independent because P(from section 1|A grade) ≠ P(from section 1).

A

c. Both are dependent because P(from section 1|A grade) ≠ P(from section 1).

19
Case: A woman has contracted a contagious disease that spreads by direct physical contact. After her condition became contagious, she was in direct physical contact with 12 people. For any individual contact, the disease has a 6% probability of being transmitted. Question: What is the probability that this woman has infected exactly 2 other people? a. About 0.2% b. About 0.36% c. About 13% d. About 97%
c. About 13%
19
What is true about the standard deviation of the mean? a. It increases as n increases. b. It decreases as n increases. c. It does not change with respect to n. d. It is equivalent to the standard error.
b. It decreases as n increases.
19
Case: Common wisdom says that the average human body temperature is 37.0°C, but a study of 141 people found that their mean and standard deviation temperatures were 36.2°C and 0.4°C, respectively. Question: What is the t-score for the results of this study? a. -2 b. -23.75 c. 23.75 d. 2
b. -23.75
20
Two fair dice are rolled with the results hidden from you. You are shown that one of the dice is a 3. What is the probability that the hidden die is also a 3? a. 1/5 b. 1/6 c. 1/18 d. 1/36
b. 1/6
21
The selection process for the inter-school football tournament has been conducted. A physician was there to assess the physical condition of every student. The physician found that a few of the students are flat-footed, a few have a knee-knock issue, and a few have both conditions. These problems will create difficulties for them while running. He prepared a table for 213 students as below. What is the probability that a student having a knee-knock problem is also flat-footed? a. 3/20 b. 8/113 c. 15/23 d. 15/213
a. 3/20
22
Case: The binomial distribution describes the likelihood of a given number of successes (x) out of a given number of trials (n), where each trial has the probability of success (p). The Wilson Estimator x + 2/n + 1 is an estimator for the probability of success parameter (p) of a binomial distribution. It is an alternative to the MLE estimator (x/n). Question: Is the Wilson Estimator biased or unbiased? And how does it behave under asymptotic (increasing sample size) conditions? a. The Wilson Estimator is biased. b. The Wilson Estimator is biased but asymptotically unbiased. c. The Wilson Estimator is unbiased. d. The Wilson Estimator is unbiased but asymptotically biased.
b. The Wilson Estimator is biased but asymptotically unbiased.
23
Consider a data set having the three same values: m, m, m If (m + 1) is added four times to this data set, which of the following would change? a. Mean and median b. Mean and mode c. Mean, mode, and median d. Mode and median
c. Mean, mode, and median
24
Case: A woman has type 1 diabetes and has started keeping track of her blood sugar levels upon waking up. Her results for the last 5 days, in mg/dL, are given in the table below. 126 109 134 115 143 Question: What is the standard error for the mean of her blood sugar levels? a. 5.52 mg/dL b. 6.17 mg/dL c. 12.3 mg/dL d. 13.8 mg/dL
b. 6.17 mg/dL
25
Case: The CDC recommends that adults over 60 should receive the Zostavax vaccine to prevent shingles and postherpetic neuralgia (PHN). The following data was imputed from Table 1 of the Highlights of Prescribing information report on Zostavax. Question: What portion of patients who received Zostavax experience local area pain? a. 27% b. 31% c. 54% d. 87%
c. 54%
25
What kind of sample selection randomly samples to identify subgroups within a population, then selects a proportionate number of individuals from each subgroup? a. Cluster Sampling b. Convenience sampling c. Stratified sampling d. Systematic sampling
c. Stratified sampling
26
Case: In a recently published paper detailing the findings of an observational study on the use of statistics in newspaper articles, the authors reported that in X "… out of 45 statistical claims (44.1%; 95% confidence interval = 34.3-54.3), the promotional statement was not supported by a reference to statistical data and analysis." Question: What can be concluded from this? a. A majority of claims are supported by references given in the advertisements. b. A majority of claims are not supported by references in the advertisements. c. At least 44.1% of all claims made are not supported by references. d. We cannot say whether a majority or minority of claims are supported.
d. We cannot say whether a majority or minority of claims are supported.
27
The exercise times of 50 randomly selected people at the gym were recorded. In this survey, data were collected on different time slots. The histogram displays the data collected in this survey. In which of the following intervals is the median of these data located? Refer to the image. a. Between 10 AM and 12 PM b. Between 12 PM and 2 PM c. Between 4 PM and 6 PM d. Between 6 PM and 8 PM
d. Between 6 PM and 8 PM
28
Case: Two random samples of students are chosen: one sample from those who were able to attempt all sections in an entry test within the given time and one sample from those who were not. The back-to-back stem plots compare the scores. The leaves on the stem plot represent decimal places. Refer to the image. Question: What is the difference in ranges between students who attempted all the sections and the students who did not attempt all the sections? a. 0.2 b. 0.4 c. 1.5 d. 2.4
b. 0.4
29
Case: Two events, A and B, are mutually exclusive and each has a nonzero probability. Question: If event A is known to occur, what is the probability of the occurrence of event B? a. 0 b. 1 c. Any positive value d. Any value between 0 and 1
a. 0
29
Case: Hospital staff recently conducted a patient satisfaction survey. The table below shows how the 94 patients surveyed answered the following prompt: "How did the staff treat you?" Question: What is the standard error for the proportion of patients that answered either Good or Very Good? a. 0.0021 b. 0.046 c. 0.051 d. 6.5
b. 0.046
30
Case: An instructor was concerned that the highest score on an exam was 95, rather than 100, so they decided to add 5 points to every student's score. Question: What effect would this change have on the distribution of the test scores? a. Mean would change; median would not since this is a skewed distribution. b. Median would change; mean would not since this is a skewed distribution. c. Standard deviation would increase by 5. d. Standard deviation would not change; mean and median would increase.
d. Standard deviation would not change; mean and median would increase.
30
The local general store is interested in finding how many people prefer buying chips with a cold drink. They record data for a week. Let x denote the number of cold drinks sold on a given day and let y denote the number of chips sold on that same day. The correlation between the 2 variables is found to be 0.470. What will the new correlation be in the next week if the values of x and y are interchanged? a. 0.235 b. 0.470 c. 0.750 d. 0.940
b. 0.470
31
A fair die is rolled. What is the probability that the first roll is not a 6 and the second roll is a 6? a. 1/36 b. 5/36 c. 1/6 d. 5/6
b. 5/36
32
What can reduce sampling errors in a survey? a. Decreasing the size of the population b. Increasing the size of the population c. Using convenience sampling
b. Increasing the size of the population
33
Case: A group of doctors is studying the sleeping habits of nursing majors. They are wondering if the students sleep less soundly during finals week. The researchers collected data from 26 students about how many times they woke up during the middle of the night 2 weeks before finals and during the week of finals. The 95% confidence interval for the difference of the means between finals week and the control week is (-0.6, 1.2). Question: What can the researchers conclude from their results? a. Nursing students generally wake up less often during finals week. b. Nursing students generally wake up more often during finals week. c. There is likely no difference between the two time periods. d. The researchers made a mistake in their calculations.
c. There is likely no difference between the two time periods.
34
A machine produces items. Each item is produced independently and each has a mean diameter of 4.6 inches, with a standard deviation of 0.1 inches. A sample of 100 items is analyzed. What is the mean and standard deviation of the sample? a. Mean 4.5 inches, standard deviation 0.1 b. Mean 4.6 inches, standard deviation 0.1 c. Mean 4.6 inches, standard deviation 0.01 d. Mean 4.7 inches, standard deviation 0.01
c. Mean 4.6 inches, standard deviation 0.01
35
Case: Researchers often wish to reduce their sample size to save money in conducting studies. Question: What factor might make a study's sample size smaller? a. Measure central tendency and dispersion. b. Reduce statistical power and use chi-squared models for analysis. c. Reduce the nonresponse rate and stratify the population. d. Use inferential statistics rather than descriptive statistics.
c. Reduce the nonresponse rate and stratify the population.
36
Case: A group of doctors is studying the sleeping habits of nursing majors. They are wondering if the students sleep less soundly during finals week. The researchers collected data from 26 students about how many times they woke up during the middle of the night 2 weeks before finals and during the week of finals. The 95% confidence interval for the difference of the means is (-0.6, 1.2). Question: What can the researchers conclude from their results? a. There is a 95% probability the true mean difference is between -0.6 and 1.2 awakenings. b. There is a 95% probability the true mean difference is between -0.6 and 1.2 awakenings, and the most likely value is 0.3. c. They are 95% confident the true mean difference is between -0.6 and 1.2 awakenings. d. They are 95% confident the true mean difference is between -0.6 and 1.2 awakenings, and the most likely value is 0.3.
c. They are 95% confident the true mean difference is between -0.6 and 1.2 awakenings.
37
What is the variance calculated for the following 10 fasting blood sugar levels of patients with diabetes? 84, 87, 93, 99, 103, 116, 126, 129, 130, 133 a. -8.2 b. 0 c. 324.6 d. 360.6
c. 324.6
38
What is the standard deviation calculated for the following 10 fasting blood sugar levels of patients with diabetes? 84, 87, 93, 99, 103, 116, 126, 129, 130, 133 a. 0 b. 2.86 c. 18.02 d. 18.99
c. 18.02
39
Case: A woman has contracted a contagious disease that spreads by direct physical contact. She will not realize she has the disease until she infects someone else, at which point she will go to her doctor for treatment. For any individual contact, the disease has a 6% probability of being transmitted. Question: What is the probability that she will go to her doctor for treatment after being in contact with 12 people? a. About 0% b. About 3% c. About 36% d. About 51%
b. About 3%