Chapter 1: Nomenclature Flashcards

(53 cards)

1
Q

What is Step 1 of IUPAC naming?

A

Identify the longest carbon chain with the highest-order functional group

This longest carbon chain will be known as the parent chain

How well did you know this?
1
Not at all
2
3
4
5
Perfectly
2
Q

If there are 2+ chains of equal length, which chain gets higher priority?

A

The more substituted chain.

How well did you know this?
1
Not at all
2
3
4
5
Perfectly
3
Q

What is Step 2 of IUPAC naming?

A

Number the chain

The carbon marked as #1 is the one closest to the high-priority functional group

If all functional groups have the same priority, the most substituted carbons should get the lowest numbers

How well did you know this?
1
Not at all
2
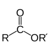
3
4
5
Perfectly
4
Q

What is Step 3 of IUPAC naming?

A

Name the substituents

Functional groups that are NOT part of the parent chain

How well did you know this?
1
Not at all
2
3
4
5
Perfectly
5
Q

What is the suffix for carbon chain substituents?

A

“-yl”

How well did you know this?
1
Not at all
2
3
4
5
Perfectly
6
Q

Draw

t-butyl

common alkyl substituent

A
How well did you know this?
1
Not at all
2
3
4
5
Perfectly
7
Q

Draw

isopropyl

common alkyl substituent

A
How well did you know this?
1
Not at all
2
3
4
5
Perfectly
8
Q

Draw

isobutyl

common alkyl substituent

A
How well did you know this?
1
Not at all
2
3
4
5
Perfectly
9
Q

Draw

sec-butyl

common alkyl substituent

A
How well did you know this?
1
Not at all
2
3
4
5
Perfectly
10
Q

What is Step 4 of IUPAC naming?

A

Assign a number to each substituent

Pair substituents that you have named to the corresponding numbers in the parent chain.

Substituents also get a carbon # designation.
Use di-, tri-, tetra-, etc. to indicate multiple substituents of the same type

How well did you know this?
1
Not at all
2
3
4
5
Perfectly
11
Q

What is Step 5 of IUPAC naming?

A

Complete the name

Names of substituents are listed in alphabetical order, with each substituent preceded by its number

Prefixes are ignored while alphabetizing, with the acception of nonhyphenated roots like iso-, neo-, cyclo-, etc.

How well did you know this?
1
Not at all
2
3
4
5
Perfectly
12
Q

Heteroatom

A

Atoms besides carbon and hydrogen, e.g. oxygen, nitrogen, phosphorus, or halogens

How well did you know this?
1
Not at all
2
3
4
5
Perfectly
13
Q

What does it mean to be in a “lower oxidation state”?

A

Lots of carbon-hydrogen bonds = lower oxidation state, or a more reduced state

How well did you know this?
1
Not at all
2
3
4
5
Perfectly
14
Q

What does it mean to be in a higher oxidation state?

A

If it contains a lot of carbon-heteroatom bonds

How well did you know this?
1
Not at all
2
3
4
5
Perfectly
15
Q

Alkanes

A

Simple hydrocarbon molecuels with the formula CnH2n+2

How well did you know this?
1
Not at all
2
3
4
5
Perfectly
16
Q

What are common substituents on alkanes?

A

Halogens, e.g. fluoro-, chloro-, bromo-, iodo-

How well did you know this?
1
Not at all
2
3
4
5
Perfectly
17
Q

Alkenes and alkynes

A

Alkene = double bond
Alkyne = triple bond

named like substituents

not usually tested on MCAT except for unsaturated fatty acids

How well did you know this?
1
Not at all
2
3
4
5
Perfectly
18
Q

Which substituent gets the lowest numbered carbon?

A

The highest priority substituent

How well did you know this?
1
Not at all
2
3
4
5
Perfectly
19
Q

What is the suffix and functional group called?

Alcohol

A

suffix “-ol”
-OH = hydroxyl group

How well did you know this?
1
Not at all
2
3
4
5
Perfectly
20
Q

Which takes priority, alcohol or multiple bonds?

A

Alcohol, because they are more oxidized.

How well did you know this?
1
Not at all
2
3
4
5
Perfectly
21
Q

How do you denote an alcohol if it is the highest priority?

A

“-ol”

How well did you know this?
1
Not at all
2
3
4
5
Perfectly
22
Q

How do you denote an alcohol if it is NOT the highest priority?

A

“hydroxy-“

23
Q

Diols

aka “glycol”

A

Alcohol with 2 hydroxyl groups

24
Q

Geminal diols

A

2 alcohols on the SAME carbon, aka hydrates

Not very common because they spontaneously dehydrate to produce carbonyl compounds

25
Vicinal Diols
2 alcohols on **ADJACENT** carbons
26
What type of group do aldehydes and ketones contain? ## Footnote C
A carbonyl group (C=O)
27
What is the difference between aldehydes and ketones?
Aldehydes are chain-terminating; ketones are in the middle of the carbon chain
28
# What is the suffix and functional group called? Draw. Aldehydes
Suffix "-al" if at position 1 (which it usually is, so you don't need to number)
29
Draw methanal Common name? ## Footnote common aldehyde
| formal = 1 carbon formaldehyde
30
acetaldehyde | ethanal ## Footnote common aldehyde
| acet = 2 carbons
31
propionaldehyde | propanal ## Footnote common aldehyde
| propion = 3 carbons
32
# What is the suffix and functional group called? Draw. Ketones
suffix "-one" Always have to assign a # to these, since they are always in the middle of a carbone chain
33
What do you call ketones when there is a higher priority group than a carbonyl present in the molecule?
Use the prefix "oxo-"
34
How do you name carbons relative to the carbonyl?
The carbon adjacent to the carbonyl is the "alpha" carbon
35
# What is the suffix and functional group called? Draw. Carboxylic Acids
carbonyl (C=O) + hydroxyl (-OH) on terminal carbon
36
What is more oxidized than a carboxylic acid?
CO2, since it has 4 bonds to oxygen
37
# Draw methanoic acid Common name? ## Footnote common carboxylic acid
| formal = 1 carbon formic acid
38
# Draw ethanoic acid | Common name? ## Footnote common carboxylic acid
| acet = 2 carbons acetic acid
39
# Draw propanoic acid | propionic acid ## Footnote common carboxylic acid
| propion = 3 carbons
40
# How do you name? What is the functional group called? Draw. Esters
Suffix = "-oate" hydroxyl (-OH) is replaced with alkoxy (-OR) group 1st term = alkyl name of esterifying group 2nd term = parent acid
41
# What is the suffix? What is the functional group called? Draw. Amide
hydroxyl replaced by **amino**, the N can be bonded to 0, 1, or 2 alkyl groups Suffix "-amide" Substituents attached to the N are labeled with the prefix "N-"
42
# How do you name? What is the functional group called? Draw. Anhydride
Forms from 2 carboxylic acid molecules, removes 1 H2O Many are cyclic -- > formed from intramolecular dehydration "________ anhydride"
43
# Order by priority, from highest to lowest ketone alkene anhydride carboxylic acid ester alkane amide alkene alcohol aldehyde
carboxylic acid anhydride ester amide aldehyde ketone alcohol alkene = alkyne alkane
44
# What is the prefix and suffix for this functional group? carboxylic acid
Prefix: carboxyl- Suffix: -oic acid
45
# What is the prefix and suffix for this functional group? anhydride
Prefix: alkanoyloxycarbonyl- Suffix: anhydride
46
# What is the prefix and suffix for this functional group? ester
Prefix: alkoxycarbonyl- Suffix: -oate
47
# What is the prefix and suffix for this functional group? amide
Prefix: carbamoyl- or amido- Suffix: -amide
48
# What is the prefix and suffix for this functional group? aldehyde
Prefix: oxo- Suffix: -al
49
# What is the prefix and suffix for this functional group? ketone
Prefix: oxo- or keto- Suffix: -one
50
# What is the prefix and suffix for this functional group? alcohol
Prefix: hydroxyl- Suffix: -ol
51
# What is the prefix and suffix for this functional group? alkene
Prefix: alkenyl- Suffix: -ene
52
# What is the prefix and suffix for this functional group? alkyne
Prefix: alkynl- Suffix: -yne
53
# What is the prefix and suffix for this functional group? alkane
Prefix: alkyl- Suffix: -ane