FE Exam Formulas Ch. 11 Flashcards

(50 cards)

1
Q

Purpose of…

A

Static Equilibrium

How well did you know this?
1
Not at all
2
3
4
5
Perfectly
2
Q

Purpose of…

A

Static Equilibrium

How well did you know this?
1
Not at all
2
3
4
5
Perfectly
3
Q

Purpose of…

A

Static Equilibrium

How well did you know this?
1
Not at all
2
3
4
5
Perfectly
4
Q

Purpose and Variables of…

A

Truss Deflection

deltajoint=joint displacement at point of application
fi=force in member i caused by unit load
deltaL=change in length caused by external effect

How well did you know this?
1
Not at all
2
3
4
5
Perfectly
5
Q

Purpose and Variables of…

A

Frame deflection

delta=displacement at point of application of unit load
mi=moment equation in member i caused by unit load
Mi=moment equation in member i caused by loads applied to frame
Li=length of member i
Ii=moment of inertia of member i

How well did you know this?
1
Not at all
2
3
4
5
Perfectly
6
Q

Purpose and Variables of…

A

Euler’s Buckling Load

Pcr=Euler’s buckling load
sigmacr=Euler’s buckling stress
E=member modulus of leasticity
I=member moment of inertia
l=member unbraced length
r=radius of gyration
K=effective length factor
Kl=effective length of column

How well did you know this?
1
Not at all
2
3
4
5
Perfectly
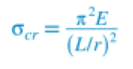
7
Q

Purpose and Variables of…

A

Euler’s Buckling Stress

Pcr=Euler’s buckling load
sigmacr=Euler’s buckling stress
E=member modulus of leasticity
I=member moment of inertia
l=member unbraced length
r=radius of gyration
K=effective length factor
Kl=effective length of column

How well did you know this?
1
Not at all
2
3
4
5
Perfectly
8
Q

Purpose of…

A

Shear Capacity

How well did you know this?
1
Not at all
2
3
4
5
Perfectly
9
Q

Purpose of…

A

Ultimate Shear Force

How well did you know this?
1
Not at all
2
3
4
5
Perfectly
10
Q

Purpose of…

A

Critical Stress

How well did you know this?
1
Not at all
2
3
4
5
Perfectly
11
Q

Purpose of…

A

Design Compressive Strength

How well did you know this?
1
Not at all
2
3
4
5
Perfectly
12
Q

Purpose of…

A

Tension Force

How well did you know this?
1
Not at all
2
3
4
5
Perfectly
13
Q

Purpose of…

A

Height of Whitney Stress Block

How well did you know this?
1
Not at all
2
3
4
5
Perfectly
14
Q

Purpose of…

A

Depth of Whitney Stress Block

How well did you know this?
1
Not at all
2
3
4
5
Perfectly
15
Q

Purpose of…

A

Compressive Strength of Concrete

How well did you know this?
1
Not at all
2
3
4
5
Perfectly
16
Q

Purpose of…

A

Moment Capacity

How well did you know this?
1
Not at all
2
3
4
5
Perfectly
17
Q

Purpose of…

A

Nominal Moment Capacity

How well did you know this?
1
Not at all
2
3
4
5
Perfectly
18
Q

Purpose of…

A

Effective Depth

How well did you know this?
1
Not at all
2
3
4
5
Perfectly
19
Q

Purpose and Variables of…

A

Total Nominal Shear Capacity

Vc=shear strength of concrete
Vs=shear strength of steel

How well did you know this?
1
Not at all
2
3
4
5
Perfectly
20
Q

Purpose of…

A

Shear Strength of Concrete

How well did you know this?
1
Not at all
2
3
4
5
Perfectly
21
Q

Purpose of…

A

Shear Strength of Steel

22
Q

Purpose and Variables of…

A

No Stirrups for Shear Demand

23
Q

Purpose and Variables of…

A

Stirrups for Shear Demand

24
Q

Purpose of…

A

Design Column Strength

25
Purpose of...
General Design Shear Capacity
26
Purpose of...
Resulting Bending Moment for Each Critical Section
27
D
Dead Loads
28
E
Earthquake Loads
29
L
Live Loads (floor)
30
Lr
Live Loads (roof)
31
R
Rain Load
32
S
Snow Load
33
W
Wind Load
34
Load that is permanent in magnitude and location.
Dead Load
35
Examples of this load include asphalt on a bridge deck, a tile floor, and light fixtures.
Dead Load
36
Load that varies in magnitude and location to account for the use of the structure by people, vehicles, and other temporary loads.
Live Load
37
Examples of this load include furniture, appliances, and vehicular traffic.
Live Load
38
Load that varies in magnitude, location, and geographical location.
Environmental Load
39
Examples of this load include wind, rain, snow, and seismic loads.
Environmental Load
40
Purpose and Variables of... (r+f)=3n
Determine if a System is Determinate r=external reaction forces f=internal forces n=rigid members in the system
41
Purpose and Variables of... ie=(r+f)-3n
Degree of Indeterminancy r=external reaction forces f=internal forces n=rigid members in the system
42
How can a system determined to be stable?
It cannot be free to move in any direction
43
What types of reaction(s) does a roller support?
1 Vertical
44
What types of reaction(s) does a Pin or Hinge support?
1 Vertical 1 Horizontal
45
What types of reaction(s) does a fixed connection support?
1 Vertical 1 Horizontal 1 Moment
46
What type of support is this?
Roller
47
What type of support is this?
Pin or Hinge
48
What type of support is this?
Fixed Connection
49
Purpose and Variables of... 3m+r=3j+c
Determine if a System is Determinate r=external reaction forces m=rigid members in system j=joints in the system c=internal condition equations
50
How many equilibrium equations does a frame with an internal hinge provide?
1