Oxidizing reagents of secondary alcohols


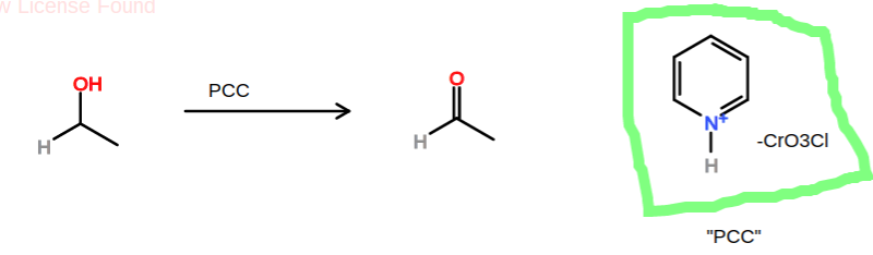
Oxidizing reagents of primary alcohols


Ozonolysis


Reactivity of Carbonyls
H-nucleophiles



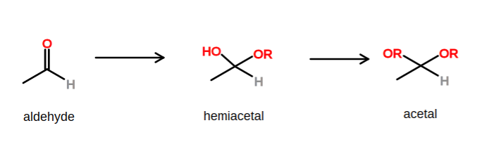
O-nucleophiles





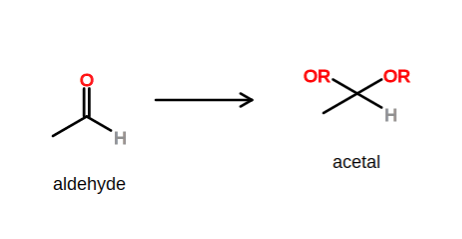
Protecting ketones

-ketones can be protected from reducing agents by turning it into an acetal

Clemmenson Reduction


S-nucleophiles


thioacetals can be reduced


3 types of reduction?
Ketones + Primary amines

makes imines

Ketone + Secondary amine

makes enamines

Alcohols, primary amines, and secondary amines all react with ketones following this mechanism

Oximes


Hydrozones


Reduction of hydrozones


Synthesis of alkanes from ketones
“Wolf-Kirchner Reduction”


Forming grignard reagents

Carbonyls and grignards


Ylides