Cours 6 Flashcards

(50 cards)

1
Q

Pour une molécule avec n centres stéréogéniques, combien y’a-t-il de stéréoisomères max?

Et max de couples d’énantiomères (pour chaque stéréoisomère)?

A
How well did you know this?
1
Not at all
2
3
4
5
Perfectly
2
Q

Combien de centres stéroïdogéniques contient ce D-glucose?

A

4

How well did you know this?
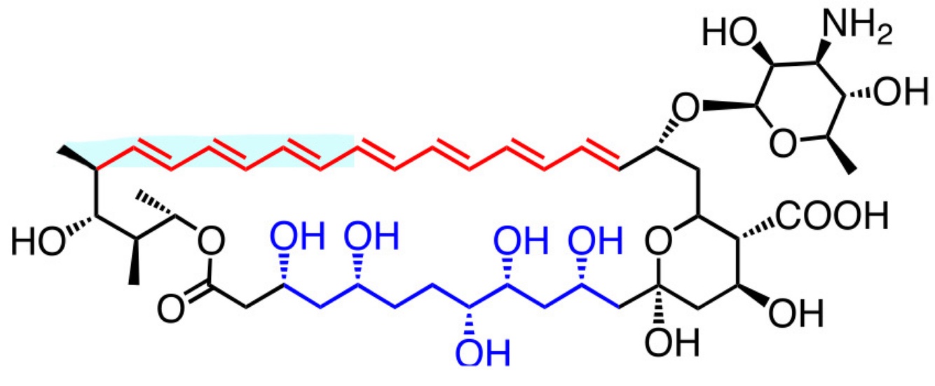
1
Not at all
2
3
4
5
Perfectly
3
Q

Quand on dit que le D-glucose et de D-galactose sont des diastéréoisomères, ça veut dire quoi?

A

= Stéréoisomères qui ne sont pas des images dans un miroir (énantiomères) car tout pareil mais différence au niveau d’1 carbone

How well did you know this?
1
Not at all
2
3
4
5
Perfectly
4
Q

V/F: La nature est omochirale, l’énantiomère n’existe donc en principe pas dans la nature

A

Vrai

(Sauf éventuelles exceptions)

How well did you know this?
1
Not at all
2
3
4
5
Perfectly
5
Q

R et S sont-ils appliquables si chiralité axiale?

A

Non

How well did you know this?
1
Not at all
2
3
4
5
Perfectly
6
Q

Nomenclature pour la chiralité axiale?

A
How well did you know this?
1
Not at all
2
3
4
5
Perfectly
7
Q

V/F: Il est très difficile de synthétiser un énantiomère et pas l’autre quand les 2 existent dans la nature

A

Vrai

Ex: L-Dopa (ttt Parkinson) et D-Dopa (inactif)

How well did you know this?
1
Not at all
2
3
4
5
Perfectly
8
Q

Lequel des 2 existe dans la nature?

A

Énantiomère P

How well did you know this?
1
Not at all
2
3
4
5
Perfectly
9
Q

Donner le nb de centres stéréogéniques, de stéréoisomères max et les conformation R et S qu’on peut voir sur le Paxlovid

A
How well did you know this?
1
Not at all
2
3
4
5
Perfectly
10
Q

À quoi correspondent respectivement:

  • X
  • Y
A
  • X: centre électrophile
  • Y: centre nucléophile
How well did you know this?
1
Not at all
2
3
4
5
Perfectly
11
Q

Quels sont les 2 états possibles de l’oxygène sp3?

A
How well did you know this?
1
Not at all
2
3
4
5
Perfectly
12
Q

Donner les longueurs respectives des liaisons:

  • OH
  • OC
  • CH

Que peut on en déduire globalement sur les liaison de l’oxygène?

A
  • 0,96 Å
  • 1,43 Å
  • 1,1 Å

==> l’oxygène a globalement des liaisons courtes

How well did you know this?
1
Not at all
2
3
4
5
Perfectly
13
Q

Donner l’angle entre 2 liaisons (ex: dans un alcool)

  • CO-OH
  • CH-CH
A
  • 108,9°
  • 109°
How well did you know this?
1
Not at all
2
3
4
5
Perfectly
14
Q

Quelle est la liaison la plus polaire dans un alcool?

A

Liaison OH

How well did you know this?
1
Not at all
2
3
4
5
Perfectly
15
Q

Dans une liaison hydrogène, à quoi correspondent respectivement le:

  • δ+
  • δ-
A
  • Donneur de liaison hydrogène
  • Accepteur de liaison hydrogène
How well did you know this?
1
Not at all
2
3
4
5
Perfectly
16
Q

Caractéristique d’une liaison H?

A

Contact très faible (longue distance, le double d’un liaison normale OH)

How well did you know this?
1
Not at all
2
3
4
5
Perfectly
17
Q

2 rôles de liaisons H?

A
  • Augm les points d’ébullition (bcp d’énergie pour casser liaisons)
  • Augm la solubilité dans l’eau

Des molécules

How well did you know this?
1
Not at all
2
3
4
5
Perfectly
18
Q

Donner les points d’ébullition de ces molécules

A
How well did you know this?
1
Not at all
2
3
4
5
Perfectly
19
Q

Donner la solubilité dans l’eau de ces molécules:

A
How well did you know this?
1
Not at all
2
3
4
5
Perfectly
20
Q

Def: conjugaison

A

Alternance de liaisons double et simple

How well did you know this?
1
Not at all
2
3
4
5
Perfectly
21
Q

Cette molécules d’amphotericine B antibiotique est-elle hydrophile, hydrophobe ou amphiphile?

22
Q

Def acide et base de Brønsted

A

Acide = donneur de H+ (liaison H trop forte transfert)

Base = accepteur de H+

(Ont respectivement des base et acide conjugué)

23
Q

Formule pKa

24
Q

Rapport [HA] (acide) et [A-] (base conj) si:

  • pKa = pH
  • pKa < pH
  • pKa > pH
A
  • [HA] = [A-]
  • [HA] < [A-]
  • [HA] > [A-]
25
Def + formule Ka
Cste d’équilibre d’un acide mélangé avec de l’eau pour former une base
26
Quel loi doit être appliquée pour qu’une réaction acide-base ait lieu?
Une réaction acide-base a lieu si le pKa de l’acide est inférieur au pKa de l’acide conjugué pKa (a) < pKa (ac)
27
**V/F**: Chaque acide _faible_ qui libère des H+ produit une base conjugué _forte_
Vrai (et inversement pour un acide fort)
28
Le carbonyle est-il considéré comme un groupe fonctionnel?
Non, = nom de la liaison double C=O ==> présente dans plusieurs groupes fonctionnels
29
Quel est l’analogue azote d’un alcool?
Amine (alkyle) = acide faible
30
Est-ce qu’on peut mettre des charges sur un amide?
Non JAMAIS!!! ==> Inchargeable
31
pKa du phénol ~
~ 10
32
Le phénol est bcp plus acide ou basique que l’alcool? Pourquoi?
Bcp plus **acide** Stabilisation par résonance de la base conjuguée explique les différences d’acidité *plusieurs formes de résonance (mésomères)*
33
Réaction red ou ox?
Réduction (Oxydation ø possible)
34
Réaction red ou ox?
35
Réaction red ou ox?
Réduction (Oxydation ø possible)
36
Def oxydation
Addition d’oxygène à une molécule ou retrait d’hydrogène ou les deux (Réduction= contraire)
37
Donner les trois formes de H échangés dans des réactions redox
38
**Écrire les 3 réactions redox pour des alcools primaire, secondaire et tertiaire en acide carboxylique** Avec: - les solvants ox et red - le catalyseur de l’oxydation (en vert) - le catalyseur de la réduction (en rouge) - la forme d’H échangé (en bleu)
39
Formule complète (avec intermédiaire) de la réaction redox d’un alcool primaire en acide carboxylique
40
Formule de la réaction redox entre alcool primaire et aldéhyde
41
Réaction réduction des thioesters
42
Donner dans l’ordre du plus au moins réactif: Aldéhyde, thioester, acide carboxylique, Ester, cétone + les donneurs correspondant
43
Dire si les réactions redox suivante sont réversibles ou pas (androgènes) - DHEA/Androstènedione - Androstènedione/Testostérone - Androstènediol/Testostérone - Androstènediol/DHEA
44
**V/F**: L’Hydroquinone est un phénomène avec un autre OH
Vrai
45
Donner les 2 réactions d’oxydation des phénols (quinone)
46
Cet Ester cyclique a bcp ou peu de tension de cycle?
Beaucoup de tensions de cycle
47
Quel est le pKa ~ des thiols (disulfure)
~ 8
48
Donner la réaction d’oxydation des thiols (en disulfure)
49
Quelles sont les 3 possibilités quand on réalise l’oxydation d’un thiol
- Ajout carbonyle - Ajout O sur S - Retrait hydrogène (=oxydation la plus freq en biologie)
50
Donner la longueur d’une liaison S—H Et valeur EN
- 1,34 Å - EN = 2,5 (souffre = en 3e période, liaison faible)