Wage
The price of hiring another unit of labor
Minimum Wage
The lowest possible wage that workers can be legally paid; usually this is enforced by the government
Leisure
Free time for enjoyment
The labor demand curve represents ______________.
The willingness of firms to pay for hours of labor as the wage rises. In the labor market, firms are the source of demand for labor and workers are the source of supply. The labor demand curve traces out the number of hours of labor demanded by firms at different wage levels. As the wage rises, the firm’s willingness to pay for more workers will generally fall – the labor demand curve tends to be downward sloping.
The labor supply curve represents ______________.
The willingness of workers to supply hours to the labor market as the wage rises. In the labor market, firms are the source of demand for labor and workers are the source of supply. The labor supply curve traces out the number of hours of labor supplied by workers at different wage levels. As the wage rises, a worker’s willingness to work will generally rise – the labor supply curve tends to be upward sloping.
The Opportunity Cost of Leisure
Sitting around is not free. It costs foregone labor, which is money.
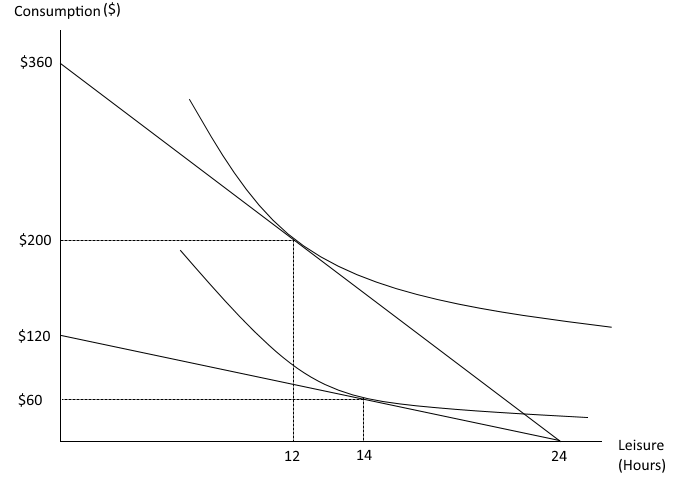
The graph below shows two different budget constraints in the consumption vs. leisure tradeoff for a given worker. It also shows two indifference curves for that worker, each tangent to one of the budget constraints.

14; 12. The flatter budget constraint corresponds to a wage of $5/hour since a worker who chooses to work all 24 hours in a day (and take 0 hours of leisure) stands to make $5/hour x 24 hours, or $120, which is where the flatter budget constraint line intersects the vertical axis. The optimal choice of leisure is given by the point of tangency between the budget constraint and indifference curve, which occurs at a leisure level of 14 hours for this budget constraint. The steeper budget constraint corresponds to the higher wage of $15/hour and is tangent to the indifference curve at a leisure level of 12 hours.
In the graph below, there are five potential labor supply curves, each labeled with a letter from A to E.
Which of these supply curves best fits the information given in the graph of the consumption vs. leisure tradeoff in Question 1A above?

Supply Curve C. Using the budget constraints and indifference curves from the previous graph in Question 1, we know that at $5 per hour, the person chooses 14 hours of leisure (which means 24 – 14 = 10 hours of work), and at $15 per hour, the person chooses 12 hours of leisure (which means 24 – 12 = 12 hours of work). So the correct labor supply curve is the one that goes through two points: 10 hours of work at the $5 wage and 12 hours of work at the $15 wage. The only curve that does that is Supply Curve C.
In our model of the labor supply decision, what is the price of one hour of leisure?
The hourly wage. The price, or opportunity cost, of one hour of leisure is the amount of consumption one can purchase if one had worked during that hour. In other words, it’s whatever is the highest hourly wage one could have earned if he had worked rather than taken leisure.
Marginal Revenue of Product of Labor
The change in revenue generated by a firm resulting from hiring one extra worker, holding other inputs constant
MacroSoft is a profit-maximizing company that produces electronic tablets using labor. The firm can sell all the tablets it produces at a price of $200. MacroSoft can hire all of the workers it wants at a market wage of $300 per day per worker. The table below shows the firm’s short-run production function.
What is the marginal revenue product (in dollars per day) of the third worker?

$200. Marginal product is how many units of additional output the next worker produces. Marginal revenue product is how much additional revenue the next worker brings in, or the marginal product times the price of a unit of output. The third worker is able to produce one more tablet (output goes from 5 to 6), and since each tablet can be sold for $200, this worker’s marginal revenue product is 1*$200 = $200.
Refer to the table in Question 1A. How many workers should the firm hire to maximize profit in the short run?

2. The firm maximizes profit by hiring workers until the marginal revenue product equals the wage. Here, the market wage is $300. The first worker produces 3 tablets, bringing in $600. That’s a good deal for the firm. The second worker produces two more tablets, bringing in $400. This is also a good deal for the firm, since it only had to pay this worker $300. The third worker brings in $200 of additional revenue because she produces only one tablet more, but her wage would be $300. The marginal revenue product for this third worker is now lower than her wage. That’s a bad deal, and she won’t be hired. The profit-maximizing number of workers for the firm to hire is 2.
If a firm in a competitive labor market pays workers the marginal revenue product of labor of the last worker hired, which of these statements is true?
The firm’s profit remained unchanged when it hired the last worker. If the wage is the same as the marginal revenue product of labor of the last worker hired, then hiring this last worker does not change the firms profit. The amount of revenue this worker brings to the firm is exactly offset by the wage the firm pays this worker.
Southface is a profit-maximizing company that produces rain jackets. The firm can sell all the jackets it produces at $50. Southface can hire all of the workers it wants at a market wage of $150 per day per worker. The table below shows the firm’s short-run production function.4
What is the marginal product of the third worker?

10 jackets. When the third worker is hired, the number of jackets produced per day rises from 50 to 60, a change of 10. Hence, the marginal product of the third worker is 10.
Refer to the table in Question 3A. How many workers should the firm hire to maximize profit?

5. The firm chooses the number of workers so that the marginal revenue product of labor (price times marginal product) equals the wage. Wage is always $150. Price is always $50. The first worker makes 30 jackets, bringing in 30 x $50 = $1500, way more than her wage. The second worker is also worth it, making an extra 20 jackets and yielding 20 x $50 = $1000 in additional revenue. The third worker makes 10 more jackets, yielding 10 x $50 = $500 in additional revenue. The fifth worker, meanwhile, will produce three more jackets, yielding 3 x $50 = $150 in additional revenue – exactly equal to her wage. At this point, the company stops hiring more workers.
Monopsony
When there is only one buyer in a market
Monopsonies are
If a large number of high-skill workers enter the labor market, which of the following is most likely to occur in the labor market for high-skill workers?
The supply curve will shift to the right and the wage will drop. An influx of workers in a market will shift the labor supply curve to the right since at any given wage there are now more people willing to supply labor hours to the market. A rightward shift of the supply curve, holding constant the demand curve, will result in a lower equilibrium wage and higher equilibrium quantity of labor.
Suppose that coal miners face a risk of getting lung disease because of the job. Now suppose a new medicine is developed that cures the disease. This will most likely cause which of the following shifts to the demand and supply curves for labor in the coal mining industry?
No shift of demand curve; Supply curve shifts right. If there’s a new medicine that helps make coal mining less dangerous, more workers will be willing to forgo leisure and work in a coal mine. At any given wage, workers are willing to supply more labor to this market, so the supply curve shifts right. There is no change to labor demand – the situation from the firm’s perspective hasn’t changed.
In a competitive labor market, a decrease in which of the following will lead to a decrease in the demand for labor?
The minimum wage
The demand for the good that labor produces. As demand for a good drops, some firms will exit the market or cut back on production, and the amount of the good produced will drop. As a result, fewer workers are needed, so there is a decrease in demand for the labor.
Suppose that a city imposes an effective minimum wage in a perfectly-competitive local labor market. What will happen to the number of workers hired and the wage paid to workers?
Number of workers decreases; Wage increases. An “effective” minimum wage means that the minimum wage is binding. In other words, the equilibrium wage used to be lower, and the minimum wage forces the wage to go up. If that happens, the equilibrium wage rises, and the number of workers employed drops as firms are willing to hire less labor at the new higher wage.
An increase in the effective minimum wage will have a smaller impact on employment if the demand for labor is __________.
Nearly inelastic. If labor demand is nearly inelastic, then it looks like an upper case I: almost straight up and down. Now imagine that a minimum wage is imposed above the old equilibrium wage. The wage will go up, and employment will drop. But since labor demand is almost vertical, the equilibrium quantity of labor won’t change that much.
Which of the following best characterizes a monopsony?
A market for a factor of production where there is only one firm that purchases the factor. A monopsony is a market in which there is only one firm that purchases a factor of production such as labor or capital. A monopoly is a market in which there is only one seller of an output of production; a monopsony is a market in which there is only one purchaser of an input to production.
The graph above shows the conditions that a monopsonist faces in a labor market. MFC is the marginal factor cost (the marginal cost of hiring an additional worker), MRP is the marginal revenue product, and S is the labor supply.
How many workers should the firm hire and at what wage?

4 workers; $8 wage. A monopsonist (and any firm) maximizes profit by choosing a quantity of labor such that marginal cost (MFC) is equal to marginal revenue (MRP). Here, that occurs when there are 4 workers. Because the firm is a monopsonist and the marginal cost curve is above the supply curve, the wage is not determined by the intersection of MFC and MRP. For a monopsonist, the marginal cost of an additional worker is not only the wage that must be paid to that worker, but also the poisoning effect of the raise the firm must give to all the existing workers. To find the wage needed to hire 4 workers, we need to use the labor supply curve which tells us the wage required to hire 4 workers is $8.