Slender Structures Flashcards

(49 cards)

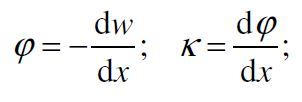
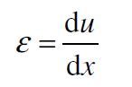
1
Q

Extension

Kinematic Relation

A
How well did you know this?
1
Not at all
2
3
4
5
Perfectly
2
Q

Extension

Constitutive Relation

A
  • σ = Eε
  • N = int( σ dA )

= int ( E ε dA )

= int ( EAε )

How well did you know this?
1
Not at all
2
3
4
5
Perfectly
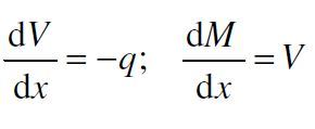
3
Q

Extension

Equilibrium

A
How well did you know this?
1
Not at all
2
3
4
5
Perfectly
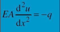
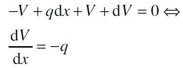
4
Q

Extension

ODE

A
How well did you know this?
1
Not at all
2
3
4
5
Perfectly
5
Q

Extension

Free Body Diagram

A
How well did you know this?
1
Not at all
2
3
4
5
Perfectly
6
Q

Extension

FBD components & BC

A
How well did you know this?
1
Not at all
2
3
4
5
Perfectly
7
Q

Shear

Kinematic Relation

A
How well did you know this?
1
Not at all
2
3
4
5
Perfectly
8
Q

Shear

Constitutive Relation

A

τ = V / A

  • τ = Tau
  • V = GAγ
    • γ = Gamma (shear strain)
    • GA = k (Stiffness)
  • A = Area
How well did you know this?
1
Not at all
2
3
4
5
Perfectly
9
Q

Shear

Equilibrium

A
How well did you know this?
1
Not at all
2
3
4
5
Perfectly
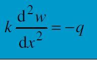
10
Q

Shear

ODE

A
How well did you know this?
1
Not at all
2
3
4
5
Perfectly
11
Q

Shear

Free Body Diagram

A
How well did you know this?
1
Not at all
2
3
4
5
Perfectly
12
Q

Shear

FBD components & BC

A
How well did you know this?
1
Not at all
2
3
4
5
Perfectly
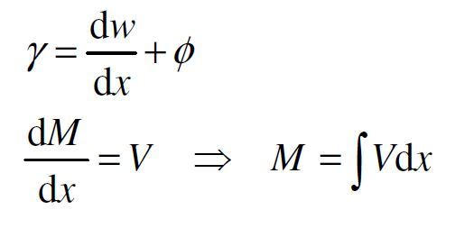
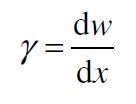
13
Q

Shear + Bending

What relation is affected?

How to account for bending in calculations?

A

The Kinematic Relations if affected:

  • Add additional term (Φ) to account for rotation due to Bending

Moment is the integration of Shear

How well did you know this?
1
Not at all
2
3
4
5
Perfectly
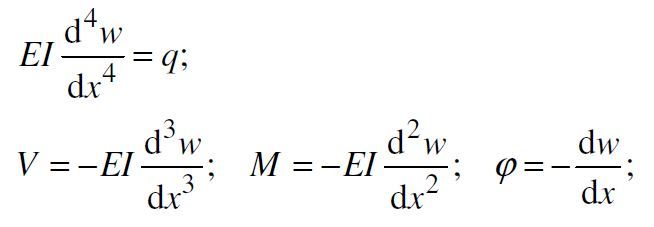
14
Q

Euler-Bernoulli

Assumptions?

Also known as?

A
  • Bernoulli-Navier hypothesis:
    • plane cross-sections remain planar and normal to the beam axis in a beam subjected to bending.
  • Shear strains = 0
  • small displacements
  • straight longitudinal axis
  • symmetric about y-axis
How well did you know this?
1
Not at all
2
3
4
5
Perfectly
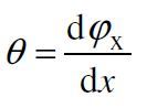
15
Q

Euler-Bernoulli

Kinematic Relation

Assumptions?

A

Plane C-S remain planer and normal to the beam axis.

How well did you know this?
1
Not at all
2
3
4
5
Perfectly
16
Q

Euler-Bernoulli

Constitutive Relation

A
How well did you know this?
1
Not at all
2
3
4
5
Perfectly
17
Q

Euler-Bernoulli

Equilibrium

A
How well did you know this?
1
Not at all
2
3
4
5
Perfectly
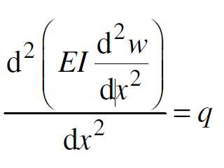
18
Q

Euler-Bernoulli

ODE

A
How well did you know this?
1
Not at all
2
3
4
5
Perfectly
19
Q

Euler-Bernoulli

Free Body Diagram

A
How well did you know this?
1
Not at all
2
3
4
5
Perfectly
20
Q

Euler-Bernoulli

FBD components & BC

21
Q

Euler-Bernoulli

Prismatic beams

(All equations)

22
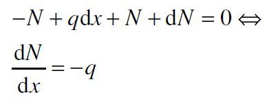
Q

Torsion

Kinematic Relation

23
Q

Torsion

Constitutive Relation

24
Q

Torsion

Equilibrium

25
Torsion ODE
26
Torsion Free Body Diagram
27
Torsion FBD components and BC
28
Types of cables?
* Type 1: Parabolic Cable * Load distributed along horizontal projection * Parabolic shape * Type 2: Catenary Cable * Load distributed along cable (gravity) * Hyperbolic cosine shape
29
Parabolic Cable Free Body Diagram
30
Parabolic cable Free Body Diagram components + BC
31
Parabolic Cable Remarks?
1. Cables takes no bending 2. Cable ODE describes an equilibrium in deflected state →No supperposition due to non-linear approach! 3. H can be regarded as constant only if no horizontal loads are applied 4. Deriviation based upon equilibrium only! 5. Cable force can be expressed in H and z:
32
Parabolic Cables **Geometrical Relation** remarks?
We do not approx. tan( α ) with α since the effect of loads on the overall geometry of cables cannot be neglected. —►Superposition position _NOT_ applicable
33
Parabolic Cables **Moment Equilibrium** remarks?
Horizontal equilibrium: dH = 0
34
Parabolic Cables **Governing Equilibrium** remarks?
35
Parabolic Cables ODE
36
Catenary Cable Free Body Diagram
37
Catenary Cable Free Body Diagram components and BC
38
Catenary Cable Geometrical Relation
We do not approximate tan( α ) to α since the effect of loads on the overall geometry of cables cannot be neglected.
39
Catenary Cable Moment Equilibrium
Horizontal equilibrium: dH= 0
40
Catenary Cable Governing Equilibrium
41
Catenary Cable ODE
42
Timoshenko Remarks
* Only applicable for static determinate structures → Need M distribution * "Looks like" a serial system:
43
Timoshenko Kinematic Relation
44
Timoshenko Constitutive Relation
45
Timoshenko Equilibrium
46
Timoshenko ODE
47
Type of system? Remarks?
Serial System: 1. - Load bearing capacity = Weakest link * both elements take the same load 2. - Total deformation is _summation_ of each element 3. - Equivalent stiffness:
48
Type of system? Remarks?
Parallel system: 1. - Total load carrying capacity = summation of each element 2. - Both elements have same deformation 3. - Equivalent stiffness:
49