What is the definition of an experiment in probability?
A process that yields an outcome.
What is an event in probability?
A set of outcomes.
Define sample space.
The set of all possible outcomes.
What does complement refer to in probability?
The set of outcomes which are not contained in an event.
Describe A’
The is the event NOT A
What are mutually exclusive events?
Two events that share no common outcomes.
What does it mean for two events to be statistically independent?
The occurrence of one event does not affect the probability of the other event.
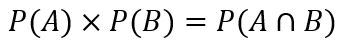
What is the formula for independent events?
What is the range of probabilities for all events?
Between 0 (impossible) and 1 (certain).
What is the sum of all probabilities in any experiment?
1
What is the complement of the event ‘The coin lands on heads’?
The coin lands on tails.
What is the complement of the event ‘the die shows an even number’?
The die shows an odd number.
What is the complement of the event ‘I do not catch any of my trains on-time’?
I catch at least one of my trains on-time.
What is the additional rule in probability?
What is a Tree Diagram used for?
To show the outcomes of two (or more) events happening in succession.
What is a Hyergeometric Tree?
A specific case of a tree diagram for sampling without replacement.
What does ‘at least one’ refer to in probability?
The probability that one or more events occur.
What does conditional probability depend on?
The outcome of a previous event
What does the notation P(A|B) represent?
The probability of A occurring GIVEN that B has already occurred
This is a key concept in conditional probability.
How do you calculate conditional probabilities?
By reducing the sample space
What is the probability of two events A and B being mutually exclusive?
This means they cannot occur at the same time.
What does it mean if events A and B are not independent?
P(A and B) ≠ P(A) x P(B)
This indicates a dependence between the events.
What statistical formula is true if events A and B are independent?
P(A and B) = P(A) * P(B)
This indicates a dependence between the events.