Brainscape
Find Flashcards
Discover millions of Flashcards
Browse Brainscape-Certified Flashcards
Learn faster with our catalog of expert certified, pre-made flashcards.
Browse All Flashcards
Browse our full catalog of user-generated and Brainscape-Certified flashcards.
Explore the
Knowledge Genome
of subjects:
Entrance Exams
Professional Certifications
Foreign Languages
Medical & Nursing
Science
English
Humanities & Social Studies
Mathematics
Law
Vocations
Health & Fitness
Business & Finance
Technology & Engineering
Food & Beverage
Fine Arts
Random Knowledge
Make Flashcards
How It Works
Features Overview
The Science of Studying
Educators
Schools & Teachers
Tutors & Resellers
Businesses
Employee Training
Publishers & Resellers
Academy
Academy Homepage
The Science of Studying
Study Tips
Teaching Tips
Employee Training Tips
Language Learning Tips
Test Prep Tips
Log in
My Dashboard
Get Started
Log out
ACS Gorbold (Calculus)
> 2.7 & 2.10 More Derivative Rules > Flashcards
2.7 & 2.10 More Derivative Rules Flashcards
(11 cards)
Study These Flashcards
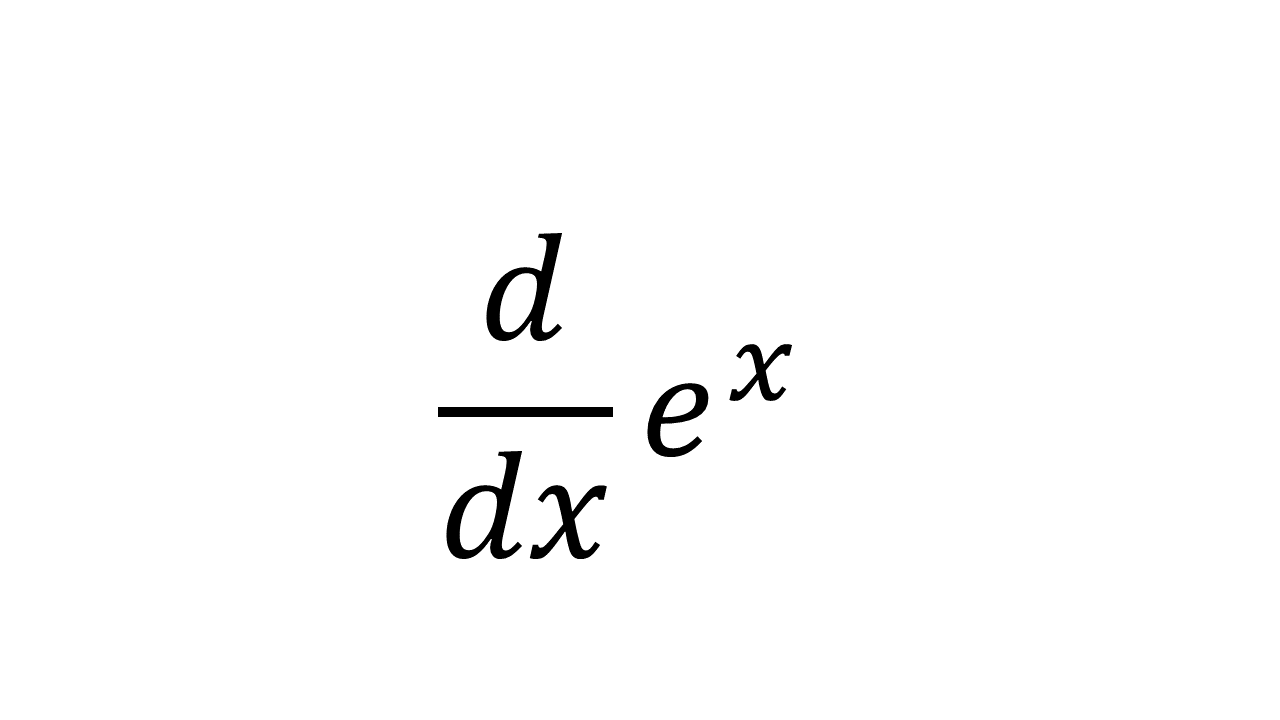
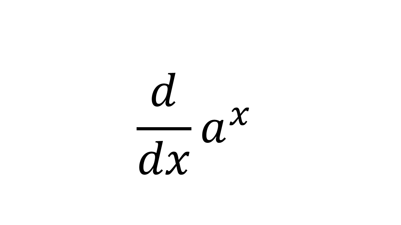
1
Q
d/dx[2^x]
A
(ln2)*2^x
How well did you know this?
1
Not at all
2
3
4
5
Perfectly
2
Q
A
How well did you know this?
1
Not at all
2
3
4
5
Perfectly
3
Q
A
How well did you know this?
1
Not at all
2
3
4
5
Perfectly
4
Q
A
How well did you know this?
1
Not at all
2
3
4
5
Perfectly
5
Q
A
How well did you know this?
1
Not at all
2
3
4
5
Perfectly
6
Q
A
How well did you know this?
1
Not at all
2
3
4
5
Perfectly
7
Q
A
How well did you know this?
1
Not at all
2
3
4
5
Perfectly
8
Q
A
How well did you know this?
1
Not at all
2
3
4
5
Perfectly
9
Q
A
How well did you know this?
1
Not at all
2
3
4
5
Perfectly
10
Q
A
How well did you know this?
1
Not at all
2
3
4
5
Perfectly
11
Q
A
How well did you know this?
1
Not at all
2
3
4
5
Perfectly
ACS Gorbold (Calculus)
flashcards
Decks in class (6)
# Cards
0.1 Calculus: Big Ideas
7
Unit 1: Limits and Continuity
14
2.1-2.4 Derivative Concepts
18
2.5-2.6 Derivative Rules: power
8
2.7 & 2.10 More Derivative Rules
11
2.8-2.9 Product and Quotient Rule
6