How is the structure of cellulose suited to its function?
Which type of bond forms between adjacent α-glucose molecules in glycogen?
α 1-4 glycosidic bonds
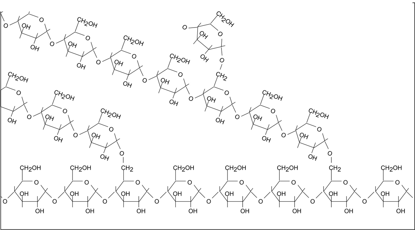
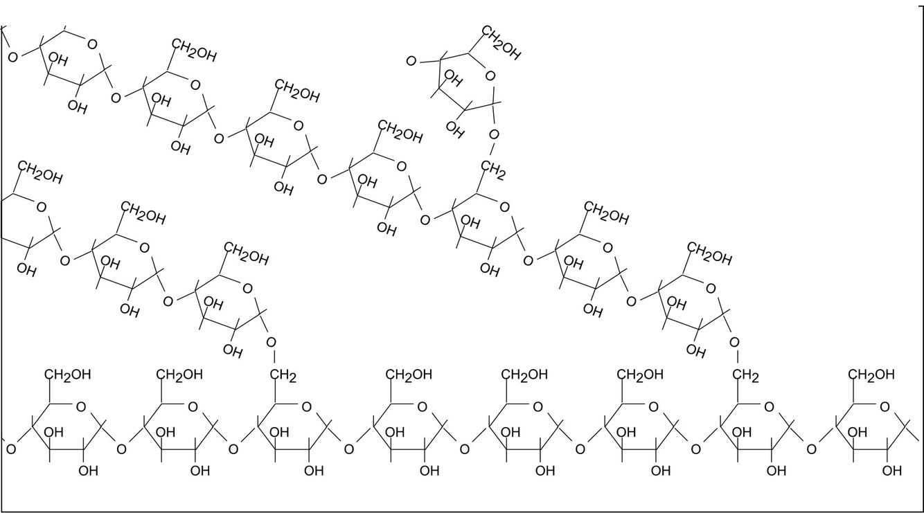
Unbranched starch (amylose) coils into a…
compact helix structure
What test is described below:
Place 2 cm3 of the sample being tested into a test tube
Add 2 drops of iodine solution
A blue black colouration indicates a positive result
The test for starch
Identify the polysaccharide

Starch (amylose)

Identify the polysaccharide

Starch (amylopectin)

What form does starch take within plant cells?
Starch grains
Which type of bond forms between branching α-glucose molecules in glycogen?
α 1-6 glycosidic bonds
Which type of bond forms between unbranched starch (amylose) molecules?
α 1-4 glycosidic bonds
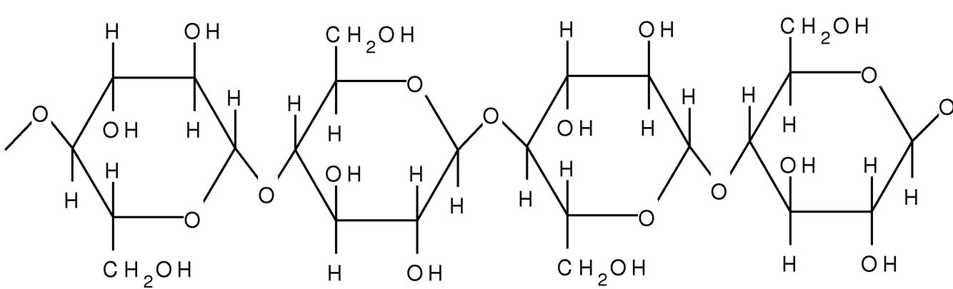
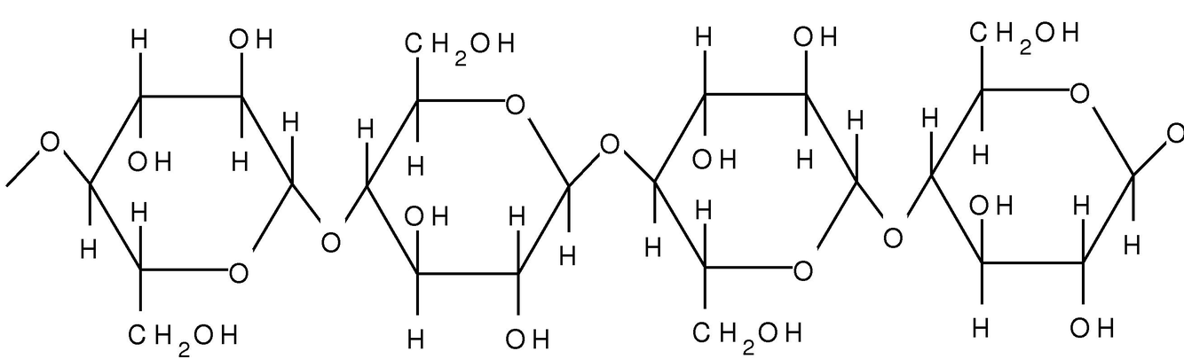
Identify the polysaccharide

Cellulose

How is glycogen different to starch?
Glycogen has many more branches
Identify the polysaccharide

Glycogen (more branches than starch)

Which type of organism contains starch?
Plants
What form does glycogen take in cells?
granules within muscle and liver cells
What type of reaction occurs when monosaccharides join?
Condensation reaction
How would you test for starch?
Cellulose microfibrils are grouped are arranged in parallel groups called…
fibres
Which monosaccharide is cellulose made from?
β-Glucose
How does the structure of glycogen make it suited to its function?
What is the function of glycogen?
an energy store for animal and bacterial cells
The coiled helix structure of unbranched starch (amylose) is held in place by…
hydrogen bonds
What is the function of cellulose?
How are parallel chains of cellulose held together?
hydrogen bonds
What structure does cellulose take?
Long unbranched chains that run parallel to each other