Name the bond that joins two monosaccharides.
Glycosidic
Name the disaccharide formed when two glucose molecules are joined.
Maltose
Name the type of reaction used to join monosaccharides together.
Condensation reaction
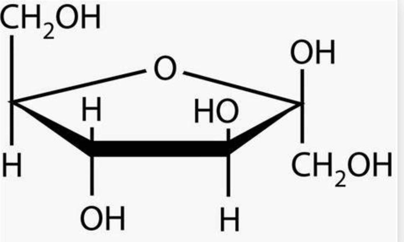
Name the molcule shown below

Alpha glucose
Name the molecule shown below

Fructose
Name the molecule shown below

Beta glucose
Name the carbohydrate formed when glucose and fructose are joined together.
Sucrose
Name the sugar made when galactose and glucose condense
Lactose
Name three monosaccharides
Glucose, fructose and galactose
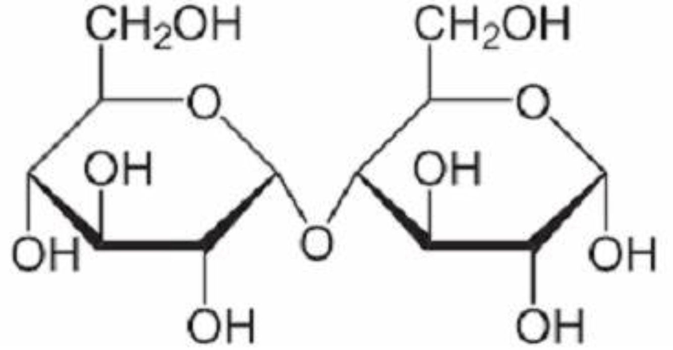
Name the molecule shown in the picture

Maltose
Name the molcule shown in the picture

Sucrose
Name 2 polysaccharides
Starch, glycogen and cellulose
Which elements are found in carbohydrates?
Carbon, hydrogen and oxygen.
Name the 2 molecules made when 2 glucose molecules are
joined by a glycosidic bond
Maltose and water
Which type of glucose is used to make starch?
Alpha glucose
Which type of glucose is used to make cellulose?
Beta glucose
Explain how the strucutre of glycogen is reelated to its function
Structure - polysaccharide of alpha glucose
Function - storage in animals
Helical shape so compact
Insoluble molecule so osmotically inactive
Branched so glucose is easily hydrolysed/added
Large so cannot leave cel
Explain how the strucutre of starch is reelated to its function
Structure - polysaccharide of alpha glucose
Function - storage in plants
Helical shape so compact
Insoluble molecule so osmotically inactive
Branched so glucose is easily hydrolysed/added
Large so cannot leave cel
Give three uses of phosphate in living organisms.
Makes phospholipids, ATP, DNA, RNA
Name the three different molecules found in ATP
Ribose, adenine and phosphate
Why is iron needed in living things
Used to make haemoglobin which transports oxygen round the body.
Name the building blocks of triglycerides.
Glycerol and fatty acids.
What is the difference between a saturated and unsaturated fatty acid?
Saturated fatty acids have single carbon bonds between the carbon atoms.
Unsaturated fatty acids have at least one carbon clarion double bond.
How do you test for a lipid?
Add ethanol to the test solution.
Mix gently
Pour liquid into cold water