Active portfolio management and performance management Flashcards

(35 cards)

1
Q

What is a passive fund and what is a active fund?

A

A passive fund replicates a market index’s performance with minimal management, aiming to match the index’s returns at lower costs and risk.

An active fund seeks to outperform a benchmark through active management and stock selection, resulting in potentially higher returns and risk, but also higher costs.

How well did you know this?
1
Not at all
2
3
4
5
Perfectly
2
Q

What are 4 strategies used by active fund managers to outperform their benchmark indices.

A

1) Performance enhancement
2) Market timing
3) Factor tilting
4) Stock selection

How well did you know this?
1
Not at all
2
3
4
5
Perfectly
3
Q

What is performance enhancement?

A

There is evidence that returns are affected by factors such as size, book-to-market, and momentum.
Investors can try to use this fact to beat the market.

How well did you know this?
1
Not at all
2
3
4
5
Perfectly
4
Q

What is market timing?

A

Market timing is the strategy of making investment choices based on expected market trends or events, aiming to profit from market swings and improve returns. For example, investors may put more money into the market when expecting a boom and pull back during anticipated downturns.

How well did you know this?
1
Not at all
2
3
4
5
Perfectly
5
Q

What is factor tilting?

A

( more general market timing) Focuses on adjusting portfolio weightings to over- or under-emphasize specific factors (e.g., value, growth, momentum) that are expected to outperform the market in the short or long term.

How well did you know this?
1
Not at all
2
3
4
5
Perfectly
6
Q

What is stock selection?

A

Consists of choosing individual stocks based on the fund manager’s expertise, analysis, and predictions, aiming to construct a portfolio that outperforms the benchmark index. ( e.g. constructing stocks with positive alphas)

How well did you know this?
1
Not at all
2
3
4
5
Perfectly
7
Q

What is the treynor black model?

A

The Treynor-Black model is a portfolio optimization model that combines both active and passive investment strategies.
The logic follows:

  1. Select a small set of securities you think are mispriced (i.e., have positive or negative alphas). This is active portfolio A.
  2. Active portfolio is likely to be under-diversified.
  3. Combine this active portfolio with the passive benchmark portfolio M (e.g., the market) to diversify.
  4. Calculate a capital allocation line (CAL).
  5. Use your utility function to determine you optimal portfolio.
How well did you know this?
1
Not at all
2
3
4
5
Perfectly
8
Q

Lets say we consider this portfolio, and we have to find maximum weights, how do we do this?

A

we have to maximise the Sharpe ratio of portfolio p.
Sharpe ratio = the Sharpe ratio is calculated by subtracting the risk-free rate of return from the investment’s or portfolio’s rate of return, and then dividing the result by the investment’s or portfolio’s standard deviation of returns.

How well did you know this?
1
Not at all
2
3
4
5
Perfectly
9
Q

Positive alpha means what ?
Negative alpha means what?

The optimal weights are as given, what does higher alpha mean ?

A

Positive alpha means an asset or portfolio has outperformed its expected return, indicating it may be underpriced given its risk level.

Negative alpha means an asset or portfolio has underperformed its expected return, indicating it may be overpriced given its risk level.

The higher the alpha the more money you will allocate to the actively managed portfolio ( the Sharpe ratio is an increasing function of this alpha)

How well did you know this?
1
Not at all
2
3
4
5
Perfectly
10
Q

We know that investing in active funds is more expensive than investing in passive funds but for active funds when should we be willing to pay managers for excess returns they generate?

A

We should only be willing to do so, if they are able to:
1) Stock selection ( identifying misprinted alphas)
2) Market timing or factor tilting ( predictions of market price movements)

How well did you know this?
1
Not at all
2
3
4
5
Perfectly
11
Q

When looking at return of active and passive funds, you may be tempted to invest in Franklin biotechnology discovery, but why is this bad without no context?

A

If you take a lot of risks, you sometimes generate high return in that year, as risk and return are related but in another year it isn’t and you don’t make money. Hence, they are not doing anything extradionary, hence they shouldn’t be compensated on it. We only compensate for skills.

How well did you know this?
1
Not at all
2
3
4
5
Perfectly
12
Q

There are various measures to evaluate the performance of funds which are what?

A

1) Sharpe ratio
2) Msquared measure
3) Jensons alpha
4) Treynor measure
5) Appraisal ratio.

How well did you know this?
1
Not at all
2
3
4
5
Perfectly
13
Q

So what is sharpe ratio and how can we use it to measure performance? WHEN DO YOU USE THIS RATIO?

A

It indicates how much additional return an investment generates for each unit of risk taken, compared to a risk-free investment like a government bond.

You compare the Sharpe ratio of portfolio p and the market portfolio M. If SRp > SRm then P has outperformed the market.

Sharpe Ratio = (Expected Portfolio Return - Risk-Free Rate) / Portfolio Standard Deviation

We use this ratio when the portfolio represents the entire investment fund.

How well did you know this?
1
Not at all
2
3
4
5
Perfectly
14
Q

What is the problem of Sharpe ratio when you are trying to decide how much to compensate managers?

A

1) Sharpe ratio ranks portfolios, but the numerical value is difficult to interpret e.g. is the difference of 0.04 economically big or small.

2) Sharpe Ratio focuses on total risk, including systematic and unsystematic risk, and may not fully capture a fund manager’s skill in managing unsystematic risk or generating excess returns through stock selection or market timing, which are areas they can actively control.

3) not great for when you split investment in numerous of funds. ( as some idiosyncratic risk will be diversified away. )

How well did you know this?
1
Not at all
2
3
4
5
Perfectly
15
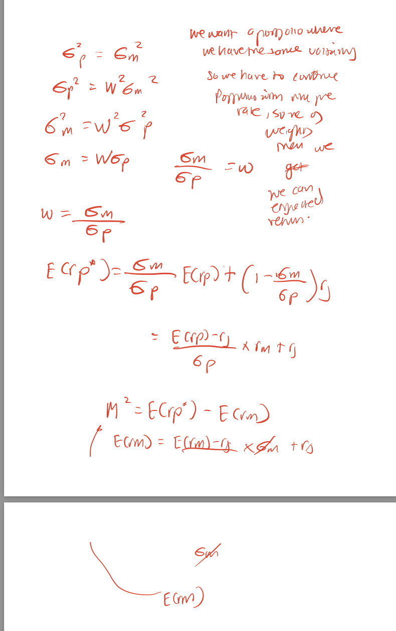
Q

So M-squared is a measure that is an extension of Sharpe ratio, as the Sharpe ratio just gives ranks so we can’t say whether the target portfolio is better than benchmark), explain it?

A

The M^2 measure adjusts the Sharpe ratio to make it easier to compare portfolios with different risk levels.

So what we want to do is when comparing

How well did you know this?
1
Not at all
2
3
4
5
Perfectly
16
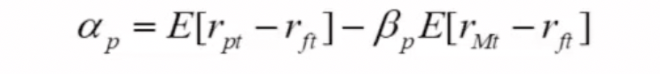
Q

What is Jensens alpha? Why is this useful?

A

It is used to evaluate the ability of a portfolio manager or an investment to generate excess returns above the returns predicted by the Capital Asset Pricing Model (CAPM) ( can also be extended to 3 factor model too).
Alpha = Actual Portfolio Return - Expected Portfolio Return( Expected Portfolio Return = Risk-Free Rate + (Portfolio Beta × (Market Return - Risk-Free Rate))
Jensens alpha is the maximum you should be willing to pay for a portfolio manager.

17
Q

the Sharpe ratio is not great for when you split investment in numerous of funds. ( as some idiosyncratic risk will be diversified away. Hence treynor ratio is better, what is it?

A

Treynor’s Ratio is a risk-adjusted performance measure that evaluates the performance of an investment portfolio or asset by considering both its return and the level of systematic risk involved. It is used when the portfolio P you are evaluating is one actively managed portfolio out of many in your overall portfolio

18
Q

What is the SD of this portfolio ( there is a trick)?

A

Essentially you just keep all the non random variables ( things that are dependent on each other kind of)

19
Q

So treynor ratio ( excess return per unit of systematic risk, whilst sharpe ratio is the excess return per unit of total risk) takes into account that the idioscraytic risk gets diversified away, so what is the actual ratio? So how can we compare this to the Security market line? (

A

We find the treynor ratio for the Market portfolio which is the the excess return on the market as beta = 1. then compare treynor ratio of the portfolio and market. If the ratio exceeds that of the market portfolio, it means its a good investment and will be above the SML line and visa versa.

20
Q

Based on some algebraic derivation ( we will not do, what can we conclude about Jensons alpha and treynor ratio?

A

they rank portfolios relative to the market portfolio in the same way. ( so if the portfolio beats market portfolio based on Jensen’s alpha it will also do for the treynor ratio.

21
Q

What is a problem of Jensens alpha?

A

Jensen’s Alpha focuses only on systematic risk and does not consider the unsystematic or idiosyncratic risk associated with individual investments in the portfolio. ( in other words to doesn’t tell you how residual risk was taken in order to obtain alpha).

22
Q

So how can apprasial ratio help? and how can it help for the treynor black model?

A

Appraisal ratio tells you alpha you earn per unit of idisocratytic risk. it provides how much money to invest in active and passive fund for the treynor black model)

23
Q

When investors have market timing ability what happens to the beta of a portfolio?
IF you find that alpha is statistically significant for a portfolio, what can you conclude?
3) if we see a non linear relationship between excess portfolio returns and excess market returns, then what can we say about beta of portfolio ( market timing) ?

A

1) The beta will go up
2) the fund has stock picking ability
3) in Good times manager portfolio has high betas when they expect return on market to be high and low betas when they expect return on market to be low ( they move weights from fund to market portfolio essentially)

24
Q

There are 2 methods of testing market timing ability? First one by Henrikson and Merton using the following regression. So here the dummy variable is only activated when the market beats the risk free asset. How do we know there is market timing ability?

A

Providing that the market beats the risk free asset. Gamma p has to be statically significant Gamma is like the change in beta.

25
lets look at the alternative method of testing market timing ability. If gamma is positive then what? What else can we deduce?
iF GAMMA IS POSITIVE WE HAVE THE SHAPE OPPOSITE CONVEX SHAPE FUNCTION OF EXCESS FUND RETURNS AND EXCESS MARKET RETURNS. MEANING THE FUND IS DOING WELL WHEN THE EXCESS RETURN ON THE MARKET INCREASES. Thus investors have market timing ability. The alpha will also tell us whether there is stock selection ability too.
26
What is performance attribution analysis?
separates which factor is the source of the portfolios performances, comparing the managers total return to a benchmark ( bogey). Breaks it down to security selection ( ability to pick certain stocks) and asset allocation ( weights in different assets)
27
What is the formulas for finding security selection and asset allocation?
28
Do part a?
29
Do part b and c
30
Could portfolio A show a higher Sharpe ratio than that of B and at the same time a lower M2 measure?
Yes, it is possible for Portfolio A to have a higher Sharpe ratio than Portfolio B, while simultaneously having a lower M2 measure. This can occur when the risk (standard deviation) of the benchmark used in the M2 calculation is significantly different from the risk of the portfolios being compared.
31
32
Who are the ppl that use this equation for market timing ability?
Henriksson and Merton, Henriksson finds that 62% of funds have negative market timing ability.
33
the highest Appraisal Ratio.
34
What is the formula for the overall Sharpe Ratio with a market portfolio and a fund? ( BASICALLY THE TREYNOR BLACK MODEL)
35
M^2 = E(rp*) - E(rm) where rp* is the portfolio that has the same Sharpe ratio as rp but same volatility as rm.