How do you know when there are two repeated real roots for ax2+bx+c?
You find when the discriminant is 0.
So solve b2-4ac=0.
How do you know when there are no real roots for ax2+bx+c?
You find when the discriminant less than 0.
So solve b2-4ac<0.
How do you know when there are two real roots for ax2+bx+c?
You find when the discriminant greater than 0.
So solve b2-4ac>0.
When you need to use the “complete the square” method?
Whenever you need the form of the equation to tell you the vertex.
f(x)=(x-h)2+k
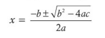
What’s the quadratic formula?
What are the three ways to solve a quadratic equation?
What are the steps to solving a quadratic equation by factorising?
How can you recognize that an equation is quadratic?
Some variable is squared.
It can always be written as:
ax2+bx+c=0
What are the steps for factorising a quadratic equation?
ax2+bx+c=0
For example, 6x2-2x+8:
What does the graph of f(x)=x2 look like? What are the vertex and line of symmetry?
Vertex: (0,0)
Line of symmetry: x=0
How do you turn
f(x)=ax2+bx+c
into the “vertex” form
f(x)=a(x-h)2+k?

What is a coefficient?
A coefficient is a number that is multiplying (it is attached to) a variable, like an x or any other letter.
e.g.
3x2 + 2x - 4
3 is the coefficient of x2,
and 2 is the coefficient of x.
What is the leading coefficient?
The leading coefficient, is the number that is attached to the x with the highest power.
e.g. in the trinomial
4x2 + 3x + 9
the leading coefficinent is 4
What is a constant?
A constant is a number that is not attached to a variable (like an x, or any other number).
e.g. 3x2 + 4x + 7
7 is the constant.
3 and 4 are coefficients.
3 is the leading coefficient.
What is a quadratic?
The general quadratic looks like:
ax2 + bx + c
“Quad” means “square”, which in math means to the power of 2. So a quadratic is an equation that contains an x2, and this is the highest power. There can’t be, for example x3, nor x4, and so on. Only the square is the highest power. Quadratic expression contains three terms, which makes it a trinomial.