Biological Molecules- Introduction Flashcards

(25 cards)

1
Q

What is the structure of cellulose?

A

The structure of cellulose are straight 1-3 glycosidic bonds of beta glucose, with hydrogen bonds between the layers creating a fibril. Making it very strong.

How well did you know this?
1
Not at all
2
3
4
5
Perfectly
2
Q

What is the function of cellulose?

A

The function of cellulose is to provide structural strength to cell wall.

How well did you know this?
1
Not at all
2
3
4
5
Perfectly
3
Q

Where is cellulose found?

A

Cell walls of plants

How well did you know this?
1
Not at all
2
3
4
5
Perfectly
4
Q

What is the structure of glycogen?

A

Glycogen is a highly branched polymer consisting of 1-4 glycosidic bonds and 1-6 glycosidic bonds; which can easily be compacted.

How well did you know this?
1
Not at all
2
3
4
5
Perfectly
5
Q

Where is glycogen found?

A

Glycogen is found in muscle and liver cells on animals.

How well did you know this?
1
Not at all
2
3
4
5
Perfectly
6
Q

What is the function of glycogen?

A

Glycogen is an insoluble source of glucose.

How well did you know this?
1
Not at all
2
3
4
5
Perfectly
7
Q

How is starches structure specialised to its function?

A

Starch has a branched structure which increases the surface area for rapid hydrolysis back to glucose.

How well did you know this?
1
Not at all
2
3
4
5
Perfectly
8
Q

What is the structure of amylopectin in starch?

A

Amylopectin has a branched structure forming both 1-4 and 1-6 glycosidic bonds.

How well did you know this?
1
Not at all
2
3
4
5
Perfectly
9
Q

What is the structure of amylose in starch?

A

Amylose forms a 1-4 glycosidic bond in a coil.

How well did you know this?
1
Not at all
2
3
4
5
Perfectly
10
Q

What is the function of starch in plants?

A

Starch is an insoluble source of glucose.

How well did you know this?
1
Not at all
2
3
4
5
Perfectly
11
Q

What is a polysaccharide?

A

Many repeated units of glucose bonded by condensation reactions.

How well did you know this?
1
Not at all
2
3
4
5
Perfectly
12
Q

What is the method for testing non-reducing sugars?

A
  1. If the sample is not already in liquid form, it must first be ground up in water.
  2. Add 2cm3 of the food sample being tested to 2cm3 of Benedict’s reagent in a test tube and filter.
  3. Place the test tube in a gently boiling water bath for 5 minutes, if the Benedict’s reagent does not change colour then a reducing sugar is not present.
  4. Add another 2cm3 of the food sample to 2cm3 of dilute hydrochloric acid in a test tube and plac the test tube in a gently boiling water bath for 5 minutes. The dilute hydrochloric acid will hydrolyse any disaccharide present into its constituent monosaccharides.
  5. Slowly add some sodium hydrogencarbonate solution to the test tube to neutralise the acid, and test the pH with pH paper.
  6. Re-test the resulting solution by heating it with 2cm3 of Benedict’s reagent in a gently boiling water bath for 5 minutes.
  7. If a non reducing sugar was present in the original sample, the solution will now turn orange-brown
How well did you know this?
1
Not at all
2
3
4
5
Perfectly
13
Q

What is the method for testing reducing sugars?

A
  1. Add 2cm3 of food into a test tube- grind if not liquid.
  2. Add an equal volume of Benedict’s reagent into the test tube
  3. Heat the mixture in a gently boiling water bath for five minutes.
  4. If reducing sugar present the solutions turns orange-brown.
How well did you know this?
1
Not at all
2
3
4
5
Perfectly
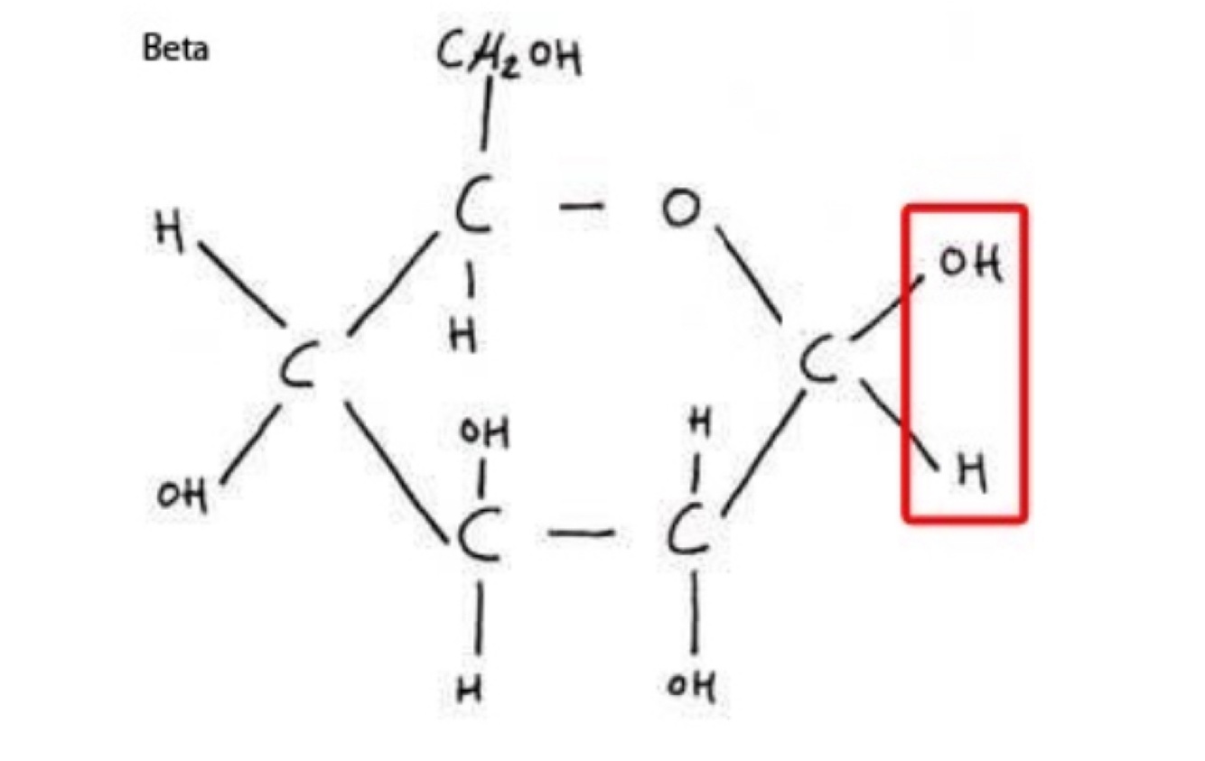
14
Q

Structure of beta glucose

A
How well did you know this?
1
Not at all
2
3
4
5
Perfectly
15
Q

What is a monomer?

A

Monomers are the smaller units from which larger molecules are made.

How well did you know this?
1
Not at all
2
3
4
5
Perfectly
16
Q

What is a polymer?

A

Polymers are molecules made from a large number of monomers joined together.

17
Q

List 3 monomers

A

Monosaccharides, amino acids and nucleotides.

18
Q

What is a condensation reaction?

A

A condensation reaction joins 2 molecules together with the formation of a chemical bonds and involves the elimination of a molecule of water.

19
Q

What is a hydrolysis reaction?

A

A hydrolysis reaction breaks a chemical bond between two molecules and involves the use of a water molecule.

20
Q

What is a monosaccharide?

A

Monosaccharides are the monomers from which larger carbohydrates are made; such as glucose, galactose and fructose.

21
Q

What bond is formed between two monosaccharides?

22
Q

How are disaccharides formed?

A

Disaccharides are formed by the condensation of two monosaccharides

23
Q

What is maltose made of?

A

Maltose is a disaccharide formed by the condensation of two alpha glucose molecules.

24
Q

What is sucrose made of?

A

Alpha glucose, and fructose

25
Lactose formation
Alpha glucose and galactose