Define:
carboxylic acid
It is an organic acid that contains a carboxyl (-COOH) group.
Carboxylic acids have IUPAC names that end in “-oic acid” (propanoic acid, for example).
Which of the following acids (top or bottom) is a carboxylic acid?
The top molecule is a carboxylic acid due to the presence of a carboxyl (-COOH) group.
To be classified as a carboxylic acid, an acid must contain at least one carboxyl group. Here, the molecule on the bottom contains a sulfonyl instead.
Which of the following acids is a carboxylic acid?
pentanoic acid
Carboxylic acids are named by adding the suffix “-oic acid” to the IUPAC name for the base chain. Pentanoic acid consists of a five-carbon chain (“pentane”) with a carboxyl group (“-oic acid”).
What is the IUPAC name of this molecule?
ethanoic acid
Carboxylic acids are named by adding the suffix “-oic acid” to the IUPAC name for the base chain. Ethanoic acid is commonly known as acetic acid. You should know both the IUPAC and common names for this molecule.
What is the IUPAC name of this molecule?
ethanedioic acid
Dicarboxylic acids are named by adding the suffix “-dioic acid” to the IUPAC name, indicating that two carboxyl groups are attached. Ethanedioic acid is commonly known as oxalic acid (H2C2O4)
What is the IUPAC name of this molecule?
benzoic acid
Carboxylic acids are named by adding the suffix “-oic acid” to the IUPAC name for the base chain. In this case, the benzene ring is the base chain.
Define:
hydrogen bonding
It is the strongest of the dipole-dipole interactions. It occurs between molecules that contain hydrogen bound to highly electronegative atoms (F, O, or N).
Carboxylic acids contain O-H bonds and can participate in hydrogen bonding, including the formation of dimers.
How many hydrogen bonds can a single carboxylic acid molecule form with another?
Two hydrogen bonds:
This results in the formation of cyclic dimers and very high boiling points.
How do the boiling points of carboxylic acids compare to those of other types of molecules?
Assume all compounds have similar molecular weight, chain length, and branching.
Carboxylic acids tend to have higher boiling points due to their strong intermolecular forces.
Carboxylic acids contain O-H groups that allow them to form hydrogen bonds. Hydrogen bonding is a stronger force than dipole-dipole or dispersion forces, and it significantly increases boiling point.
Rank the following molecules from highest to lowest boiling point:
Butanoic acid > butanol > butanone > butane
Since butanoic acid is able to form hydrogen bond dimers, it has the highest boiling point. Though less significant, the hydrogen bonding in butanol is stronger than the dipole-dipole forces in butanone. Finally, as a nonpolar molecule, butane has only weak dispersion forces.
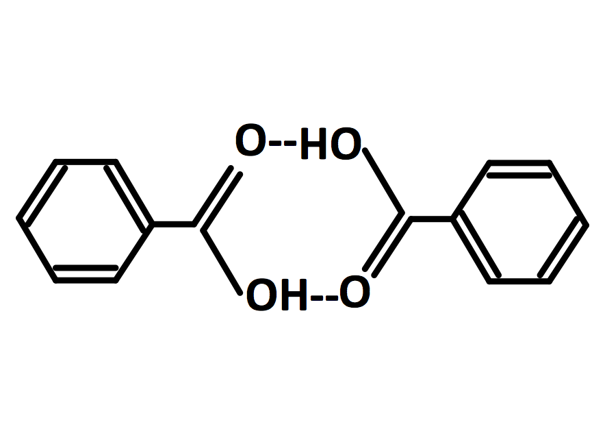
Define:
dimer
This is a pair of two structurally similar molecules linked together by chemical bonds.
Here, dimers refer to carboxylic acids linked by hydrogen bonds. Dimers can relate to a variety of proteins and other molecules.
How many hydrogen bonds are involved when two molecules of acetic acid form a dimer?
The homodimer formed would be linked by two hydrogen bonds.
A homodimer implies that both molecules are the same. Though it is possible to form heterodimers between different carboxylic acids.
How many hydrogen bonds are involved when two molecules of benzoic acid form a dimer?
The homodimer formed would be linked by two hydrogen bonds.
A homodimer implies that both molecules are the same. Though it is possible to form heterodimers between different carboxylic acids.
Which type of solvent is best for dissolving carboxylic acids?
polar protic solvents
Remember that “like dissolves like.” Carboxylic acids are highly polar due to the presence of the carboxylate group, and would thus dissolve best in a polar solvent. They also have the ability to form hydrogen bonds, which is a characteristic of polar protic solvents in particular.
In which of the following solvents will a carboxylic acid dissolve most readily?
water
A simple carboxylic acid will dissolve most readily in water, a polar solvent that forms hydrogen bonds.
Remember that “like dissolves like.” Both ethane and cyclohexane are nonpolar, making them very different from a carboxylic acid.
How is the acidity of a carboxylic acid affected by the inductive effects of its substituents?
Acidity increases if substituent groups are electron-withdrawing. Such groups can delocalize the negative charge on the carboxyl group, stabilizing the conjugate base.
In contrast, electron-donating groups decrease the acidity, since they contribute extra electron density and destabilize the carboxyl group.
Which of the following (top or bottom) is a stronger acid?
The bottom acid (acetic acid).
The top acid is propanoic acid. Its extra alkyl group (circled) is electron-donating, which destabilizes the negative charge of the carboxylate ion. The less stable the conjugate base, the weaker the original acid, and vice versa.
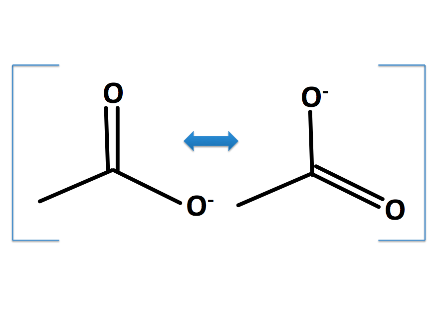
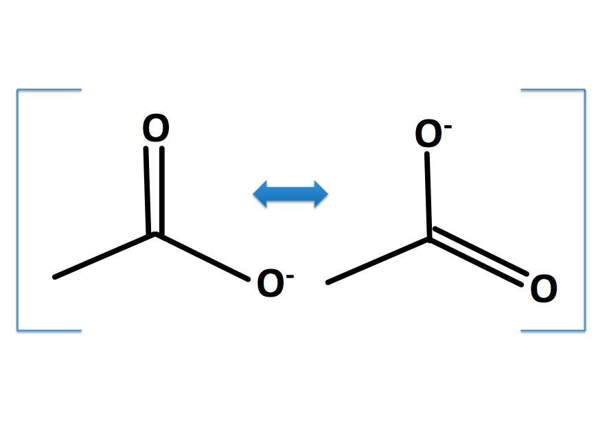
How does resonance affect the acidity of a carboxylic acid?
It increases the acidity. It allows the carboxylate ion’s negative charge to be delocalized between the oxygen atoms of the carboxyl group.
Each oxygen atom receives a partial negative charge, as well as a bond strength of 1.5 between it and the central carbon.
Which of the following two molecules (top or bottom) is a stronger acid?
The top (carboxylic acid) is much more acidic than the bottom (alcohol) molecule.
This increased acidity is due to the resonance stabilization of the carboxylate ion.
Resonance delocalizes the negative charge, which stabilizes the conjugate base and increases acidity. In general, alcohols have relatively low acidity.
How does the number of electron-withdrawing groups affect the acidity of a carboxylic acid?
The more electron-withdrawing groups, the stronger the acid. These groups stabilize the conjugate base by delocalizing the electron density of the negative charge.
Additional electron-donating groups, in contrast, decrease the acidity.
Which of the following molecules is a stronger acid, and why?
The bottom molecule (the carboxylic acid with two chlorine substituents).
The presence of an additional electron-withdrawing group increases the stability of the carboxylate ion.
Which of the following molecules is a stronger acid, and why?
The top molecule (the carboxylic acid with fewer alkyl substituents, which is isobutyric acid).
This molecule has fewer electron-donating groups. The more such groups present on the molecule, the more electron density they contribute to the carboxylate ion, and the more the conjugate base is destabilized (which decreases acidity).
How is the acidity of a carboxylic acid affected by the electronegativity of its substituents?
More electronegativity near a carboxyl group increases the acidity.
The higher the electronegativity of a substituent, the more it delocalizes the negative charge on the carboxyl group, resulting in a more stable conjugate base and a stronger acid.
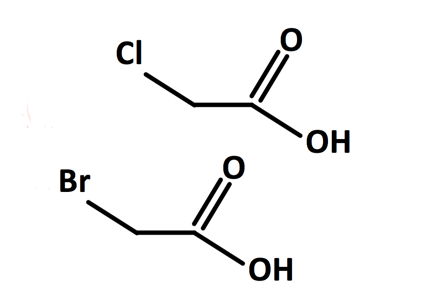
Which of the following molecules is a stronger acid, and why?
The top molecule (chloroacetic acid) is a stronger acid.
Chlorine is more electronegative than bromine. It is thus better able than bromine to delocalize the carboxylate ion’s negative charge. More delocalization of charge means greater acidity.