Chapter 22: Lipid Metabolism Flashcards

(11 cards)

1
Q

Use of TAGs for fuel

A

The fatty acids incorporated into triacylglycerols in adipose tissue are made accessible in three stages:

  1. Degradation of TAGs to release fatty acids and glycerol into the blood for transport to energy-requiring tissues
  2. Activation of the fatty acids and transport into the mitochondria for oxidation
  3. Oxidation of the fatty acids to acetyl CoA for processing by the CAC

Produces one FADH2, one NADH, and one fatty acetyl CoA per cycle

How well did you know this?
1
Not at all
2
3
4
5
Perfectly
2
Q

Hormonal regulation of lipolysis

A

Stimulated by:

  • Glucagon
  • Epinepherine
  • Cortisol

Inhibited by:

  • Insulin
How well did you know this?
1
Not at all
2
3
4
5
Perfectly
3
Q

Glycerol degradation

A
How well did you know this?
1
Not at all
2
3
4
5
Perfectly
4
Q

Fatty acid activation

A

Begins with an activation step in the cytosol (FA-1) that requires the energy of ATP hydrolysis

  • FA-1⇢ catalyzed by acyl CoA synthetase; drives the attachment of a CoA molecule to the fatty acid forming fatty acetyl CoA

The fatty acetyl CoA is then transported into the mitochondrion by a translocase in the inner membrane

How well did you know this?
1
Not at all
2
3
4
5
Perfectly
5
Q

Movement of fatty acetyl CoA into the mitochondria

A

Carnitine carries long-chain activated fatty acids into the mitochondiral matrix

Carnitine acyltransferase 1 is located in the outer mitochondiral membrane

  • Replaces the CoA group with a carnitine group to move the fatty acid across the membrane

Carnitine acyltransferase 2 is located in the inner mitochondiral membrane

  • Removes the carnitine group and reattaches the CoA, regenerating the fatty acetyl CoA
How well did you know this?
1
Not at all
2
3
4
5
Perfectly
6
Q

Degradation of fatty acetyl CoA

A

FA-2⇢ An integral membrane dehydrogenase oxidizes the fatty acetyl CoA, forming a double bond between the α and β-carbons

  • The two electrons and protons removed are transferred to FAD, forming one FADH2

FA-3⇢ water is added across the double bond by a hydratase

FA-4⇢ another dehydrogenase re-oxidizes the β-carbon, forming a ketone

  • The two electrons and protons removed are transferred to NAD+, forming one NADH

FA-5⇢ the bond between the α and ß-carbons is broken by a thiolase and a two-carbon fragment is transferred to a second acetyl CoA

The steps FA-2 to FA-5 are repeated until the original fatty acid is completely degraded

How well did you know this?
1
Not at all
2
3
4
5
Perfectly
7
Q

Enzymes required to metabolize unsaturated fatty acids

A

Isomerase- gets it into right shape

Reductase- corrects the molecular geometry

How well did you know this?
1
Not at all
2
3
4
5
Perfectly
8
Q

Degredation of odd-chain fatty acids

A

Propionyl CoA carboxylase adds a carbon to propionyl CoA to form methylmalonyl CoA

Methylmalonyl CoA mutase a vitamin B12-requiring enzyme, subsequently forms succinyl CoA from methylmalonyl CoA

How well did you know this?
1
Not at all
2
3
4
5
Perfectly
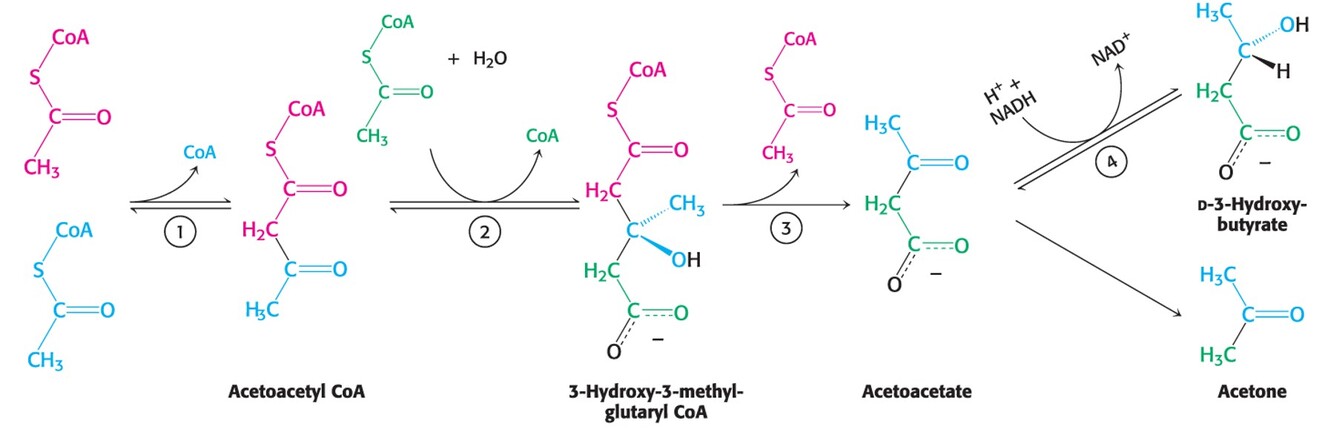
9
Q

Driver of ketone body formation

A

Acetyl CoA formed via β-oxidation enters the CAC only if fat and carb degredation are balanced

In fasting or diabetes oxaloacetate is used to form glucose in the gluconeogenic pathway

In these situations acetyl CoA is diverted to form acetoacetate and D-3-hydroxybutyrate

These two molecules as well as acetone are often referred to as ketone bodies

How well did you know this?
1
Not at all
2
3
4
5
Perfectly
10
Q

Ketone bodies

A
  1. Acetoacetate
  2. Acetone
  3. D-3-hydroxybutyrate

Acetoacetate undergoes a slow, spontaneous decarboxylation to acetone

How well did you know this?
1
Not at all
2
3
4
5
Perfectly
11
Q

Ketone bodies as fuel

A

Liver exports water-soluble ketones through the blood to other systems for use as fuel

Once ketones show up at their destination, they enter the CAC to be used as fuel

How well did you know this?
1
Not at all
2
3
4
5
Perfectly