Chapter 3: Holomorphic Functions Flashcards

(15 cards)

1
Q

Definition of Differentiable

A
How well did you know this?
1
Not at all
2
3
4
5
Perfectly
2
Q

Formal Definition of Limit

A
How well did you know this?
1
Not at all
2
3
4
5
Perfectly
3
Q

Theorem 3.4

A
How well did you know this?
1
Not at all
2
3
4
5
Perfectly
4
Q

Definition of Holomorphic Function

A
How well did you know this?
1
Not at all
2
3
4
5
Perfectly
5
Q

Cauchy-Riemann Equations

A
How well did you know this?
1
Not at all
2
3
4
5
Perfectly
6
Q

Partial Converse of Cauchy-Riemann

A
How well did you know this?
1
Not at all
2
3
4
5
Perfectly
7
Q

Theorem 3.13

A
How well did you know this?
1
Not at all
2
3
4
5
Perfectly
8
Q

Definition of Power Series

A
How well did you know this?
1
Not at all
2
3
4
5
Perfectly
9
Q

Power Series Convergence

A
How well did you know this?
1
Not at all
2
3
4
5
Perfectly
10
Q

Power Series Differentiability

A
How well did you know this?
1
Not at all
2
3
4
5
Perfectly
11
Q

How to calculate Radius of Convergence

A
How well did you know this?
1
Not at all
2
3
4
5
Perfectly
12
Q

Ratio Test

A
How well did you know this?
1
Not at all
2
3
4
5
Perfectly
13
Q

Complex Exponential Function - Power Series

A
How well did you know this?
1
Not at all
2
3
4
5
Perfectly
14
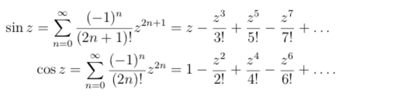
Q

Trig Function - Power Series

A
How well did you know this?
1
Not at all
2
3
4
5
Perfectly
15
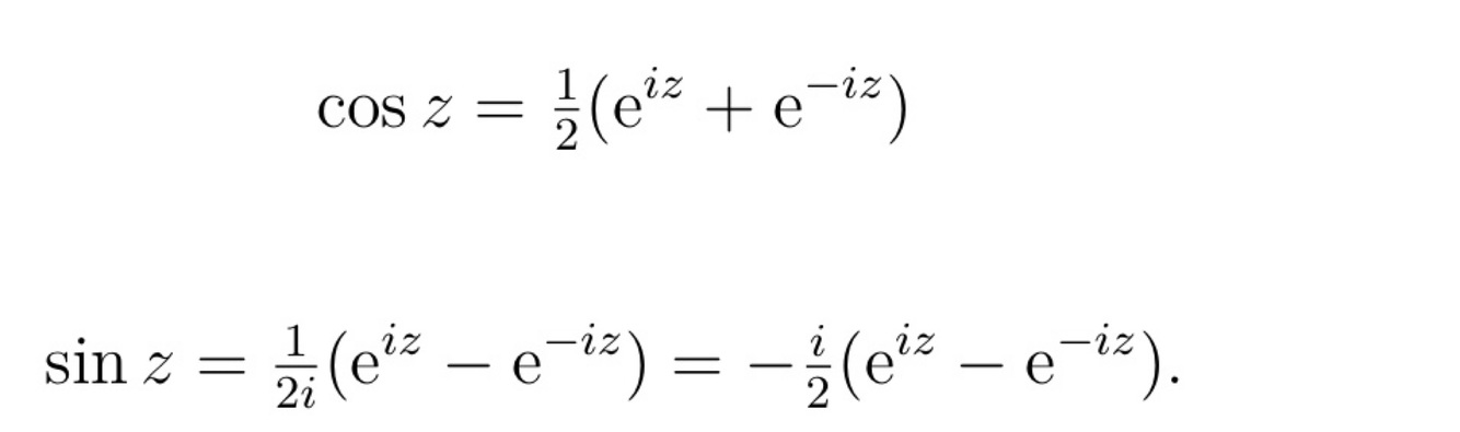
Q

Trig Functions - Exponential Form

A
How well did you know this?
1
Not at all
2
3
4
5
Perfectly