What is Boyle’s Law?
P1V1 = P2V2
or
PV = constant (k)
What is Charles’ Law?
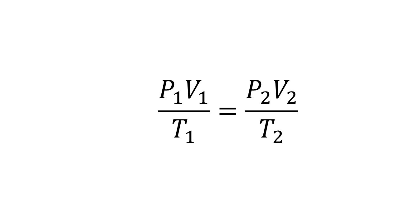
V1/T1 V2/T2
What is the Ideal Gas Law?
PV = nRT
P = pressure (in atmosphers)
V = volme (in cubic meters)
n = # of moles
T = temperature (in Kelvin)
R = 0.0821 (L * atm)/(K * mole)
What is Guy-Lussac’s Law?
P1/T1 = P2/T2
What is Avogadro’s Law?
V1/n1 = V2/n2
V = volume of gas
n = # of moles of gas
What is Dalton’s Law of Partial Pressures?
Ptotal = P1 + P2 + ….. + Pn
Dalton’s law (also called Dalton’s law of partial pressures) states that in a mixture of non-reacting gases, the total pressure exerted is equal to the sum of the partial pressures of the individual gases.
The kinetic molecular theory of gases is based on a series of assumptions. What are those assumptions?
Gases are composed of a large number of particles that behave like hard, spherical objects in a state of constant, random motion.
These particles move in a straight line until they collide with another particle or the walls of the container.
These particles are much smaller than the distance between particles. Most of the volume of a gas is therefore empty space.
There is no force of attraction between gas particles or between the particles and the walls of the container.
Collisions between gas particles or collisions with the walls of the container are perfectly elastic. None of the energy of a gas particle is lost when it collides with another particle or with the walls of the container.
The average kinetic energy of a collection of gas particles depends on the temperature of the gas and nothing else.
What is Graham’s Law of Diffusion?
The rates at which gases diffuse is inversely proportional to the square root of their densities
What are the 5 general types of chemical reactions?
What is the difference between diffusion and effusion of gases?
Due to their constant, random motion, gas molecules diffuse into areas of lower concentration, and effuse through tiny openings
What is standard temperature and pressure (STP)?
Standard temperature is 273.15 K (0 Celsius or 32 Farenheit)
Standard Pressure is 1 X 105 Pascals (Pa) = 1 atm
What is the combined gas law?

What is the volume of 1 mole of gas at Standard Temperature and Pressure (STP)?
One mole of gas at Standard Temperature and Pressure is 22.4 liters.
What is the definition of molarity (M)
Molarity (M) is the moles of a solute per liter of solution. The accepted units are moles per liter (mol l-1)
What is the definition of molality (m)?
Molality (m)
What is the difference between solute and solvent?
When one substance dissolves into another, a solution is formed. A solution is a homogeneous mixture consisting of a solute dissolved into a solvent. The solute is the substance that is being dissolved, while the solvent is the dissolving medium.
What is an electrolyte?
An electrolyte is any salt or ionizable molecule that, when dissolved in solution, will give that solution the ability to conduct electricity. This is because when a salt dissolves, its dissociated ions can move freely in solution, allowing a charge to flow.
Compare “STRONG” vs “WEAK” electrolytes.
As mentioned above, when an ionizable solute dissociates, the resulting solution can conduct electricity. Therefore, compounds that readily form ions in solution are known as strong electrolytes. (By this reasoning, all strong acids and strong bases are strong electrolytes.)
By contrast, if a compound dissociates to a small extent, the solution will be a weak conductor of electricity; a compound that only dissociates weakly, therefore, is known as a weak electrolyte.
A strong electrolyte will completely dissociate into its component ions in solution; a weak electrolyte, on the other hand, will remain mostly undissociated in solution. An example of a weak electrolyte is acetic acid, which is also a weak acid.
What is a strong electrolyte?
Compounds that readily form ions in solution are known as strong electrolytes. (By this reasoning, all strong acids and strong bases are strong electrolytes.)
What is a weak electrolyte?
If a compound dissociates to a small extent, the solution will be a weak conductor of electricity; a compound that only dissociates weakly, therefore, is known as a weak electrolyte.
What is a non-electrolyte?
Nonelectrolytes are compounds that do not ionize at all in solution. As a result, solutions containing nonelectrolytes will not conduct electricity. Typically, nonelectrolytes are primarily held together by covalent rather than ionic bonds. A common example of a nonelectrolyte is glucose, or C6H12O6. Glucose (sugar) readily dissolves in water, but because it does not dissociate into ions in solution, it is considered a nonelectrolyte; solutions containing glucose do not, therefore, conduct electricity.
Define solubility?
Solubility is the relative ability of a solute to dissolve into a solvent.
If AB ⇔A+ + B-
What is the formula for the dissociation constant?
KD = [A+][B-] / [AB]
What is the Bronsted-Lowry definition of an acid?
An acid is a substance that donates protons.