Final... Flashcards

(106 cards)

1
Q

Exponential Attenuation

A
How well did you know this?
1
Not at all
2
3
4
5
Perfectly
2
Q

Types of Attenuation Coefficients

A
How well did you know this?
1
Not at all
2
3
4
5
Perfectly
3
Q

Energy Transferred

A
How well did you know this?
1
Not at all
2
3
4
5
Perfectly
4
Q

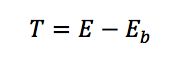
Net Energy Transferred

A
How well did you know this?
1
Not at all
2
3
4
5
Perfectly
5
Q

Energy Imparted

A
How well did you know this?
1
Not at all
2
3
4
5
Perfectly
6
Q

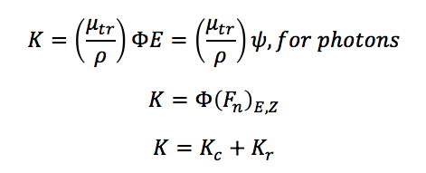
Kerma

A

Units: Gy or J/kg

How well did you know this?
1
Not at all
2
3
4
5
Perfectly
7
Q

Collision Kerma

A
How well did you know this?
1
Not at all
2
3
4
5
Perfectly
8
Q

Absorbed dose (D)

A

Units: Gy or J/kg

How well did you know this?
1
Not at all
2
3
4
5
Perfectly
9
Q

Exposure (X)

A

Units: C/kg or R

How well did you know this?
1
Not at all
2
3
4
5
Perfectly
10
Q

Dose Equivalent (H)

A

Units: Sv or rem

How well did you know this?
1
Not at all
2
3
4
5
Perfectly
11
Q

Effective Dose Equivalent

A
How well did you know this?
1
Not at all
2
3
4
5
Perfectly
12
Q

Number of Photon Interactions (n)

A
How well did you know this?
1
Not at all
2
3
4
5
Perfectly
13
Q

Mean Free Path or Relaxation Length

A
How well did you know this?
1
Not at all
2
3
4
5
Perfectly
14
Q

Buildup Factor (B)

A
How well did you know this?
1
Not at all
2
3
4
5
Perfectly
15
Q

Conditions required for Radiation Equilibrium (RE)

A
  • The atomic composition of the medium is homogeneous
  • The density of the medium is homogeneous
  • The radioactive source is uniformly distributed
  • There are no electric or magnetic fields present to perturb the charged-particle paths, except the fields associated with the randomly oriented individual atoms
How well did you know this?
1
Not at all
2
3
4
5
Perfectly
16
Q

Conditions required for Charged Particle Equilibrium (CPE)

A
  • The atomic composition of the medium is homogeneous
  • The density of the medium is homogeneous
  • There exists a uniform field of indirectly ionizing radiation (the rays must be only negligibly attenuated by passage through the medium)
  • No homogenous magnetic or electric fields are present
How well did you know this?
1
Not at all
2
3
4
5
Perfectly
17
Q

CPE

A
How well did you know this?
1
Not at all
2
3
4
5
Perfectly
18
Q

Causes for CPE failure

A
  • Inhomogeneity of atomic composition within volume V
  • Inhomogeneity of density within volume V
  • Non-uniformity of indirectly ionizing radiation within volume V
  • Presence of a non-homogenous electric or magnetic field in V
How well did you know this?
1
Not at all
2
3
4
5
Perfectly
19
Q

Transient Charged Particle Equilibrium (TCPE)

A
How well did you know this?
1
Not at all
2
3
4
5
Perfectly
20
Q

Interactions of Photons with Matter

A
How well did you know this?
1
Not at all
2
3
4
5
Perfectly
21
Q

Photoelectric

A
How well did you know this?
1
Not at all
2
3
4
5
Perfectly
22
Q

Compton

A
How well did you know this?
1
Not at all
2
3
4
5
Perfectly
23
Q

Pair and Triplet Production

A
How well did you know this?
1
Not at all
2
3
4
5
Perfectly
24
Q

Photonuclear

A
How well did you know this?
1
Not at all
2
3
4
5
Perfectly
25
Flourescence yield
The fluorescence quantum yield gives the efficiency of the fluorescence process. It is defined as the ratio of the number of photons emitted to the number of photons absorbed.
26
Q\_max equation
Know Derivation!
27
Q\_max for different particles
28
Ratio of Radiative to Collisional Stopping Power
29
Critical Energy
30
Radiation Yield
31
Range Straggling
for statistical reasons, particles in the same medium have varying path lengths between the same initial and final energies.
32
CSDA Range
33
Assumptions made in Dose Calculation
34
Light Charged Particle definitions for Dose
35
Energy Absorbed in Thin Slab (Light Charged Particles)
36
Dose due to Light Charged Particles (thin slab)
37
Dose due to Light Charged Particles with Energy Spectrum (thin slab)
38
Radiation Length (thin slab)
39
Dose due to Heavy Charged Particles (thin slab)
40
Light Charged Particle in thick slab energies
41
Radiation Yield
42
Energy spent in collisions (thick slab)
43
Light Charged Particles in Thick Slab energies corrected
44
Dose in thick foil due to light charged particle
45
Energy imparted to thick foil by light charged particles
46
Heavy Charged Particle Thick Slab Residual R\_CSDA
47
Heavy Charged Particle Energy left over thick slab
48
Heavy Charged Particle Dose in Thick Foil
49
Electron Backscatter
* When incident to a material, electrons backscatter due to nuclear elastic interactions which reduces dose near the surface. This effect is large for materials with high Z, low T0 and thick slabs. * We need to correct for this in thick foils, but not in thin foils. * Infinitely Thickness, ∞ - the maximum thickness, that an electron can backscatter; For electrons, this thickness is half of the maximum penetrating depth, tmax/2
50
Electron Energy Backscattering Coefficient
51
Backscattering electron number
52
Maximum Scatter angle of Bremmstrahlung
53
Bremsstrahlung Production
Proportional to Z^2 and inversly proportional to A
54
Energy Transfer Derivation
55
Relativistic Case Energy Transfer
56
Linear Stopping Power
The rate of energy loss per unit path length by a charged particle in a medium
57
Mass Stopping Power
Dividing the Linear Stopping Power by the density of the medium
58
Two Types of Stopping Powers
59
Radiative Stopping Power
60
Bethe Mass Collision Stopping Power Approximation
61
Mean Ionization Potential of the Medium
62
Relationships to Bethe Formula
63
Corrections to Bethe's Expression
64
Bethe Corrected Equation
65
Range vs Projected Range
66
Range for Particles
67
Stopping Time
68
Bragg Curve
69
Ionization Constant
70
Dose in the gas
71
Assumptions in Cavity Theory
* The cavity is thin so that its presence does not perturb the charged particle field. * Charged particles originating in the cavity don’t contribute to the absorbed dose in the cavity.
72
Bragg-Gray Cavity Theory Assumptions
* The scattering properties do not change for heavy particles and electrons * Charged particles that enter the cavity were generated elsewhere * Charged particles could originate in the wall from indirectly ionizing radiation * Charged particles do not stop in the cavity * The density of gas is very low compared to the solid
73
Bragg-Gray Cavity Theory can be applied for
* Charged particles entering from outside the vicinity (high energy charged particles) * Charged particles generated inside the wall from gamma rays or neutrons
74
General Equation for Dose in a medium
75
Derivation of Cavity Theory Pt. 1
76
Derivation of Cavity Theory Pt. 2
77
Derivation of Cavity Theory Pt. 3
78
Conclusions and Comments on B-G Cavity Theory
79
First Corollary of B-G relation
80
Second Corollary of B-G relation
81
Cavity Theory Example
82
Spencer Derivation Assumptions
* N identical particles emitted per gram, each with kinetic energy T0 * CPE exists at cavity * Bremsstrahlung radiation is neglected
83
Dose and Flux in Spencer Derivation
84
Spencer Derivation Pt. 1
85
Spencer Derivation Pt. 2
86
Spencer Derivation Pt. 3
87
Spencer with Bremsstrahlung
88
Averaging of Stopping Powers
89
Estimating the mass collision stopping power
90
Why use Spencer?
91
Size Parameter Delta
92
Equilibrium spectrum including delta rays
93
finding R(T,T0)
94
Spencer using R(T,T0)
95
Contrast between Spencer and B-G
96
Ultracold Neutrons
97
Very Cold Neutrons
98
Cold Neutrons
99
Thermal Neutrons
100
Epithermal Neutrons
101
Fast Neutrons
102
High Energy Neutrons
103
Energy Transferred to a nucleus from neutron
104
Energy Transferred in Neutron Units
105
Neutron Energy after collision
106
Neutron Spallation
Spallation occurs when a fast neutron n penetrates the nucleus and adds sufficient energy to the nucleus so that is disintegrates into many small residual components such as alphas and protons