Where does glycolysis occurs?
Occurs in the Cytoplasm
What is ATP synthase and what is it used for?
Where does the citric acid cycle and oxidative phosphorylation occur?
In the Mitochondria

Details about the Proton Gradient

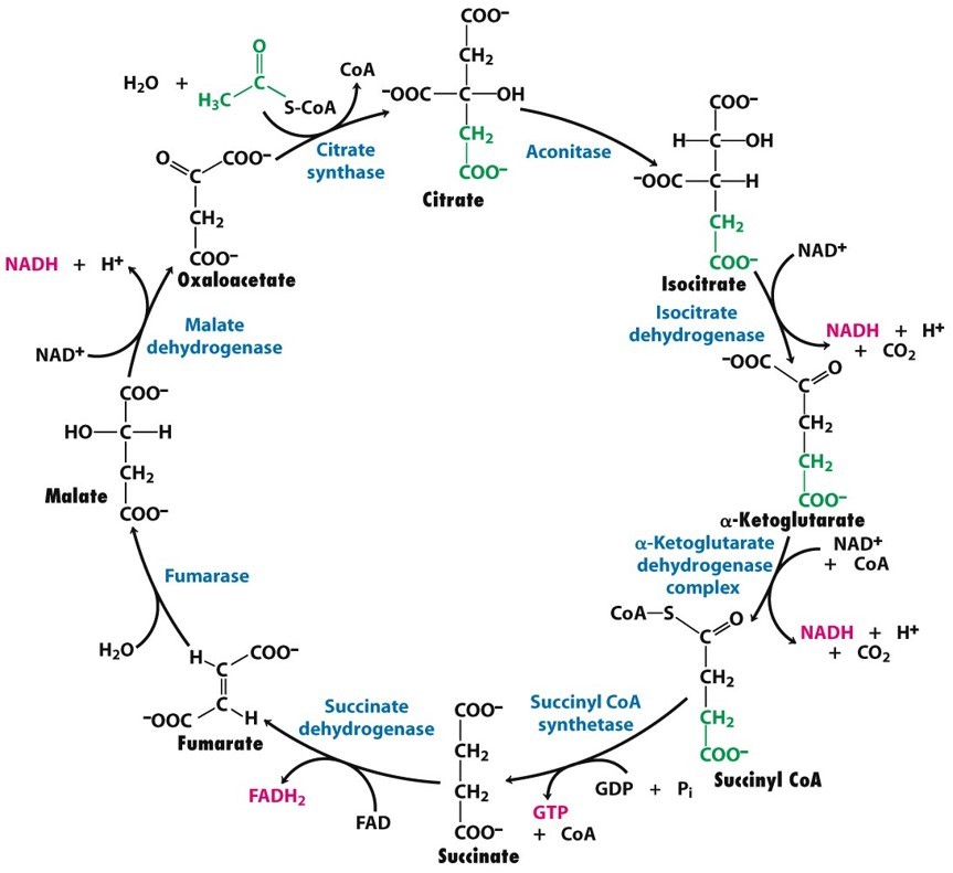
What is the first step of the Citric Acid Cycle?

What is the Electron Transport Chain and how does it work?

What is the main regulatory enzyme in glycolysis?
Phosphofructokinase
It catalyzes the first irreversible step of the patheay
Turns Fructose 6-phosphate into Fructose 1,6-bisphosphate using ATP
What is Alcoholic Fermentation?

Define Glycolysis
What are the three reactions that pyruvate may go through depending on the organism and oxygen supply?
Alcoholic Fermentation
Lactic Acid Fermentation
Aerobic Respiration
What are the two parts of the overall glycolysis reaction?
Hint: Input and Output
Input
Glucose + 2 Pi + 4 ADP + 2 ATP + 2 NAD+
Output
2 pyruvates + 4 ATP + 2 NADH + 2H+ + 2 H2O
What is Lactic Acid Fermentation?

What are the stages of Glycolysis?

What happends after glycolysis?

What is the next step after the Citric Acid Cycle?

What is Cellular Respiration?

Describe this picture

As electrons are relayed through the electron transport chain, the free energy released is used to pump protons (H+) into the mitochondrial intermembrane space (against the concentration gradient
What process is this?

Glycolysis
Depending on the organism and oxygen availability, pyruvate generated from glucose has multiple potential fates.
True or False
The pumping of protons by complexes I, II, III, and IV in the electron transport chain is what leads to ATP synthesis
False
Only pumping of protons from complexes I, III, and IV leads to ATP synthesis
What is Pyruvate Dehydrogenase and what is it use for?

True or False
One molecule of glucose can yield approximately 30 ATP molecules
True

True or False
Phosphofructokinase is allosterically regulated and is the most important checkpoint in glycolysis
True
binding curve shifts from hyperbolic (green) to sigmoidal (red)

What is the main function of the citric acid cycle?
for picture
