hoofdstuk 7 Flashcards

(18 cards)

1
Q

op welke 3 manieren kunnen we energie halen uit water

A

stuwdam

golfenergie

getijdenenergie

How well did you know this?
1
Not at all
2
3
4
5
Perfectly
2
Q

2 formules maximaal vermogen bij stuwdam + wat is het verschil

A

de eerste is met wrijving (reëel maximaal vermogen) en het tweede is zonder wrijving (theoretisch maximaal vermogen)

How well did you know this?
1
Not at all
2
3
4
5
Perfectly
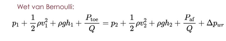
3
Q

hoe kom je tot de formule van theoretisch maximaal vermogen bij stuwdam mbv Bernoulli

A
How well did you know this?
1
Not at all
2
3
4
5
Perfectly
4
Q

formule van rendement van stuwdam

A

in de teller staat het reëel maximaal vermogen en in de noemer het theoretisch maximaal vermogen

How well did you know this?
1
Not at all
2
3
4
5
Perfectly
5
Q

4 voordelen van energie uit water halen met stuwdammen

A
How well did you know this?
1
Not at all
2
3
4
5
Perfectly
6
Q

5 nadelen van energie uit water halen met stuwdammen

A
How well did you know this?
1
Not at all
2
3
4
5
Perfectly
7
Q

hoe ontstaat de waterkracht in golven (golfenergie) + eigenschap

A

het is het resultaat van het verschil in luchtsnelheid en watersnelheid + wordt niet veel gebruikt om energie uit te halen

How well did you know this?
1
Not at all
2
3
4
5
Perfectly
8
Q

formule vermogen van een golf

A
How well did you know this?
1
Not at all
2
3
4
5
Perfectly
9
Q

welke 2 principes hebben we om energie uit water te halen dmv getijdenenergie

A

bassinprincipe

stromingsprincipe

How well did you know this?
1
Not at all
2
3
4
5
Perfectly
10
Q

welke 3 bassinprincipes heb je

A

1 bassin halve periode werking

1 bassin volle periode werking

2 bassin volle periode werking

How well did you know this?
1
Not at all
2
3
4
5
Perfectly
11
Q

welk soort principe bij getijdenenergie is dit

A

1 bassin volle periode werking

How well did you know this?
1
Not at all
2
3
4
5
Perfectly
12
Q

welk soort principe bij getijdenenergie is dit

A

2 bassin volle periode werking

How well did you know this?
1
Not at all
2
3
4
5
Perfectly
13
Q

welk soort principe bij getijdenenergie is dit

A

1 bassin halve periode werking

How well did you know this?
1
Not at all
2
3
4
5
Perfectly
14
Q

welk soort principe bij getijdenenergie is dit

A

stromingsprincipe

How well did you know this?
1
Not at all
2
3
4
5
Perfectly
15
Q

leg de 1 bassin halve periode werking uit

A
How well did you know this?
1
Not at all
2
3
4
5
Perfectly
16
Q

leg de 1 bassin volle periode werking uit

17
Q

leg de 2 bassin volle periode werking uit

18
Q

leg het stromingsprincipe uit

A

het is hetzelfde bij windenergie