Integration Rules Flashcards

(19 cards)

1
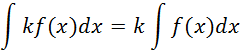
Q

4.1: The Constant Rule of Integration

A
How well did you know this?
1
Not at all
2
3
4
5
Perfectly
2
Q

4.1:

A
How well did you know this?
1
Not at all
2
3
4
5
Perfectly
3
Q

4.1: The Constant Multiple Rule of Integration

A
How well did you know this?
1
Not at all
2
3
4
5
Perfectly
4
Q

4.1: The Sum and Difference Rules of Integration

A
How well did you know this?
1
Not at all
2
3
4
5
Perfectly
5
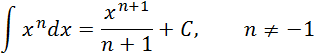
Q

4.1: The Power Rule of Integration

A
How well did you know this?
1
Not at all
2
3
4
5
Perfectly
6
Q

4.1: Integral of Cosine Function

A
How well did you know this?
1
Not at all
2
3
4
5
Perfectly
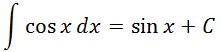
7
Q

4.1: Integral of Sine Function

A
How well did you know this?
1
Not at all
2
3
4
5
Perfectly
8
Q

4.1: Integral of Secant Squared Function

A
How well did you know this?
1
Not at all
2
3
4
5
Perfectly
9
Q

4.1: Integral of Secant Tangent Function

A
How well did you know this?
1
Not at all
2
3
4
5
Perfectly
10
Q

4.1: Integral of Cosecant Squared Function

A
How well did you know this?
1
Not at all
2
3
4
5
Perfectly
11
Q

4.1: Integral of Cosecant Cotangent Function

A
How well did you know this?
1
Not at all
2
3
4
5
Perfectly
12
Q

4.5: The General Power Rule for Integrals

A
How well did you know this?
1
Not at all
2
3
4
5
Perfectly
13
Q

5.2: Log Rule for Integration

A
How well did you know this?
1
Not at all
2
3
4
5
Perfectly
14
Q

5.2: Integral of the Tangent Function

A
How well did you know this?
1
Not at all
2
3
4
5
Perfectly
15
Q

5.2: Integral of the Secant Function

A
How well did you know this?
1
Not at all
2
3
4
5
Perfectly
16
Q

5.2: Integral of the Cosecant Function

17
Q

5.2: Integral of the Cotangent Function

18
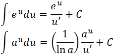
Q

5.4: Integral of Exponential Functions

19
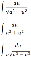
Q

5.7: Integrals Involving Inverse Trigonometric Functions

Let u be a differentiable function of x, and let a >0.