Lecutre 7+8 Flashcards

(34 cards)

1
Q

The amide (peptide) bond

A
  • amides may be formed by the reaction of the COOH group of one amino acid with the NH2 group of another
How well did you know this?
1
Not at all
2
3
4
5
Perfectly
2
Q

Peptide bond structure

A
  • the amide nitrogen lone pair interacts with the C=O group

Two consequences
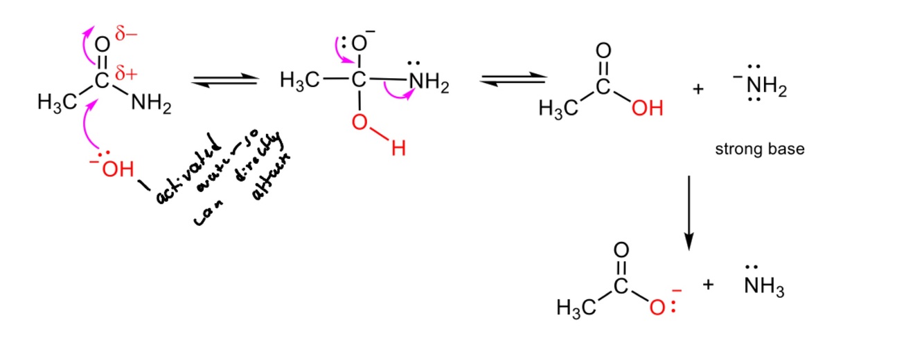
- amides are unreactive towards nucleophiles - hydrolysis requires heating with aqueous acid
- peptide bonds are rigid and planar

How well did you know this?
1
Not at all
2
3
4
5
Perfectly
3
Q

Peptides are…

A

Linear polymers of amino acids

How well did you know this?
1
Not at all
2
3
4
5
Perfectly
4
Q

Peptides directional sense and different ends

A

H2N- = N terminus
-COOH = C terminus

GLY = N terminus
ALA = C terminus

How well did you know this?
1
Not at all
2
3
4
5
Perfectly
5
Q

Bond rotation?

A
  • bond rotation not possible about the amide bonds
  • sequential a-C’s are usually in a trans relationship
How well did you know this?
1
Not at all
2
3
4
5
Perfectly
6
Q

Exeption to the possible rotation about the amide bonds

A

N of PROLINE

How well did you know this?
1
Not at all
2
3
4
5
Perfectly
7
Q

Peptide properties are defined by:

A
  • terminal COOH and NH2 groups
  • functional groups and physical character of side chains
  • sequence of amino acid units
  • gly-ala-ser-gly and gly-ala-gly-ser are different structures and have different properties
  • for peptides and small proteins the molecules largely refueled the properties of the compete amino acids
How well did you know this?
1
Not at all
2
3
4
5
Perfectly
8
Q

Sickle cell anemia

A
  • haemoglobin molecule uses are abnormal and have lower solubility causing haemoglobin to aggregate, causing red blood cells to distort/deform
  • normal haemoglobin molecules are charged at physiological pH thus polar
  • absnormal haeglobloin has been replaces by valine where it is non polar
How well did you know this?
1
Not at all
2
3
4
5
Perfectly
9
Q

Peptides are..

A

Too small to have a tertiary structure

How well did you know this?
1
Not at all
2
3
4
5
Perfectly
10
Q

Peptide or protien?

A

N>75 protien
N<75 peptide

How well did you know this?
1
Not at all
2
3
4
5
Perfectly
11
Q

4 levels of protien structure

A

Primary: sequence of aa’s
secondary: segments off structure along peptide chain e.g a-helix,turns,B-sheet
Teriary structure: how secondary structural elements fit together
Quanternary structure: how proteins or indipendent peptide chains come together

How well did you know this?
1
Not at all
2
3
4
5
Perfectly
12
Q

Why do peptides adopt secondary structures

A
  • in aqueous environment =, the chain will adopt a configuration so as to expose the polar side chains (hydrophilic groups) and Burt the non polar side chains (hydrophobic groups) ie maximum favourable non-covalent interactions
  • hydrogen bonding between amide links stablaises secondary structural elements
    E.g - a-helix, B-sheet and well defines turns ( and off course water is competent for these H-bonding sites)
How well did you know this?
1
Not at all
2
3
4
5
Perfectly
13
Q

A-helicies and B-sheets

A
How well did you know this?
1
Not at all
2
3
4
5
Perfectly
14
Q

Self - disulphides bride

A

When the cystine residues are embedded in a peptide chain, the disulphides braindges may link otherwise remote parts of the molecule together

How well did you know this?
1
Not at all
2
3
4
5
Perfectly
15
Q

The structure of insulin e

A
  • two otherwise Indipendent peptide chains joined together by disulphides bridges
How well did you know this?
1
Not at all
2
3
4
5
Perfectly
16
Q

Facts about peptide synthesis

A
  • Fred Sanger
  • two inidipendent peptide chains for a total of 51 amino acids
17
Q

Peptide synthesis - how to selectively form only one produce

A
  • TWO AMINO ACIDS CAN POTENTIALLY REACT TO FORM 4 POSSIBLE DIPEPTIDES (therefore protection needed)
  • protect NH2 and COOH groups not required to react
  • form peptide bond to combine protected amino acids
  • remove protecting groups (deprotection
18
Q

The synthesis of dipeptide Ala-Gly

A

BOC protects amino groups
Eserfying protects carbonyl groups

BOC- deprotected with mild acid
ESTERS - deprotected with base

Use ‘activator’ such as DCC to form a peptide bond between them

19
Q

Specific steps in the synthesis of Ala-Gly

A
  • make BOC-Ala (reaction one)
  • make Gly-OMe (reaction two)
  • react with DCC
  • deprotect
20
Q

Strategy for larger peptides

21
Q

Why does peptide hydrolysis proceed with difficulty

A
  • H20 is a poor nucleophile
  • the C=O of an amide is unreactive towards nucleophiles

Can be achieved by heating with strong aqueous acid but even then the reaction proceeds slowly

22
Q

General mechanism for amide hydrolysis in acid

A
  • carbon cation intermediate is also resonance stabilised
  • last step is irreversible
23
Q

Protein digestion

A
  • metabolism efficiently hydrolyses the peptide bonds to liberate amino acids - esp the ones we dont make
  • this is achieved by low pH of our stomach
  • effectiveness enzymes, proteases, that effect hydrolysis of the peptide bond e.g chymotrypsin and carboxypepridase
24
Q

Proteases - base hydrolysis of an amide

25
Chymotrypsin
- a proteolytic enzyme (a serine protease) found in the digestive system of many organisms - it catalyses the hydrolysis of peptide bonds, spefically the peptide bond on the carbonyl side of an aromatic - benzine like amino acids
26
How does chymotrypsin recognise aromatic ring
- chymotrypsin has a hdrophobic binding packer to recognise the aromatic ring (will also accept large hydrophobic R groups) - thus I ding sire positions the peptide bond for preaccessing at the active site which contains a ‘ catalytic triad’
27
The catalytic triad at the active site of chymotrypsin
28
Chymotrypsin mechanism
29
Carboxypeptidase A
- a protease - recognised carboxylare of the C terminal and hydrolyses ajecnet peptide bond - effectively clips off the C-terminal residue and exposes the next one for processing - example of metalloenzyme, with Zn2+ playing an integral role at the active site
30
3 key factors of carboxypeptidase
- reactants are held close together - Zn2+ makes C=O more susceptible to nucleopphillci attack - H20 is deptrotoated to make better nucleophile
31
End of carboxypeptidase mechanism
- following merchandise allows us to get a tetrahedral intermendiate - the slow step of the reaction is made much faster - this then leads to the breaking of the C-N bond liberating he C-terminal amino acid and exposes the next amino acid
32
Why is the OH group if tyrosine able to act as a proton donor
- usually to proton of an alcohol group is not acidic - however the OH group of tyrosine is attached to a benzene ring and this influences it’s acidity and reactivity thus having a lower pKa
33
Why is phenol acidic
- OH of phenol more acidic then aliphatic alcohol is due to the realities stability of its conjugate base due to resolve cue stablismation
34
Basicity of benzene type amines