Module 6 Capacitors Flashcards

(39 cards)

1
Q

How is a capacitor constructed?

A

two parallel plates separated by an insulator so that no current can flow through

How well did you know this?
1
Not at all
2
3
4
5
Perfectly
2
Q

Describe the changes that take place in the circuit, in terms of movement of electrons, in a charging circuit with a capacitor

A

When switch is closed, electrons move from negative side of the power supply to a plate on the capacitor making it negative

An equal number of electrons leave the other plate on the capacitor and travel to the positive side of power supply

Plates have equal and opposite charges

How well did you know this?
1
Not at all
2
3
4
5
Perfectly
3
Q

What is the relationship between the charge and the voltage in a charging circuit?

A

directly proportional

How well did you know this?
1
Not at all
2
3
4
5
Perfectly
4
Q

What is the final PD across a charging capacitor?

A

same as EMF of supply Vo

How well did you know this?
1
Not at all
2
3
4
5
Perfectly
5
Q

How to calculate initial current when initial voltage is known?

A

Io=Vo/R R is circuit resistance

How well did you know this?
1
Not at all
2
3
4
5
Perfectly
6
Q

Define capacitance

A

charge stored per unit potential difference

How well did you know this?
1
Not at all
2
3
4
5
Perfectly
7
Q

What are the units for capacitance?

A

F - farads

How well did you know this?
1
Not at all
2
3
4
5
Perfectly
8
Q

Define a farad

A

One Coulomb per unit Volt

How well did you know this?
1
Not at all
2
3
4
5
Perfectly
9
Q

Explain how the formula for energy stored in a capacitor, W=1/2QV is derived

A

V changes from zero to final V as Q increases

Average PD is V/2 (if plotted on graph of Q/V)

W=QV generally

W=1/2QV the area under the graph

How well did you know this?
1
Not at all
2
3
4
5
Perfectly
10
Q

Explain the missing energy from the formula W=1/2QV

A

Energy supplied by power supply is W=QV

Half the energy is missing

Missing energy is due to current in the wires producing heat (P=I^2R)

How well did you know this?
1
Not at all
2
3
4
5
Perfectly
11
Q

Give a practical use for capacitors

A

used to provide small bursts of current for camera flashes

How well did you know this?
1
Not at all
2
3
4
5
Perfectly
12
Q

What decreases exponentially for a discharging circuit?

A

V , I and Q

voltage across capacitor
current
charge on capacitor

How well did you know this?
1
Not at all
2
3
4
5
Perfectly
13
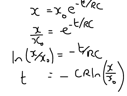
Q

Explain how the formula for exponential decay can be manipulated to find time

A

ln (x/xo) X( -CR)

How well did you know this?
1
Not at all
2
3
4
5
Perfectly
14
Q

Define time constant

A

time taken for the charge, current, or voltage, to reach 1/e of any initial value
1/e = 0.37 0r 37%

How well did you know this?
1
Not at all
2
3
4
5
Perfectly
15
Q

What is the relationship between the value of the time constant and rate of exponential decay?

A

larger the time constant the slower the decay

How well did you know this?
1
Not at all
2
3
4
5
Perfectly
16
Q

What are the units for time constant?

17
Q

What is the constant ratio property?

A

Relevant for exponential decay

For equal time intervals, the value of x changes by the same ratio for any initial value of x

18
Q

What must be done to prove the constant ratio property for capacitors

A

Time intervals of τ (RC)

Value from 0 to τ of y axis must fall to 0.37 of original

Value of y axis from τ to 2τ must fall to o.37 of value at τ

Etc

19
Q

Explain how the time constant can be found from an exponential decay graph

A

take 0.37 of the original value on the y axis (I, Q or V) read to the x axis, that is τ

20
Q

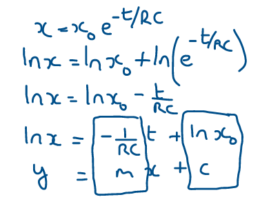
Explain how the exponential decay equation can be altered to match y = mx+c

A

lnX = ( -1/CR ) x t + lnXo

21
Q

When charging a circuit with a capacitor, how does the voltage across the resistor vary?

A

PD on the resistor decreases exponentially

22
Q

How can a constant current in charging of a capacitor be achieved?

A

Using a variable resistor which will be gradually reduced to keep current constant as V falls

23
Q

When do we know RC is not constant?

A

when current is constant, or charge and pd change at constant rates

24
Q

When does the spreadsheet method or iteration method work?

A

when values of time interval t are much smaller than that of time constant

so charge or voltage assumed constant over time interval t

25
What is ε?
permittivity
26
What is d in the parallel plate formula?
distance between plates
27
What is A in the parallel plate formula?
overlapping area of plates
28
What is relative permittivity?
ratio of permittivity of material to that of free space
29
What will happen if the separation of plates of parallel plate capacitor is changed when connected to power supply
PD remains constant but charge and energy stored will change
30
What will happen if the separation of plates of parallel plate capacitor is changed when not connected to power supply
charge remains constant so PD and energy stored will change
31
Explain why charge must remain the same for capacitors connected in series?
same number of electrons arrive to plates and leave, therefore the charge is same
32
How is capacitance combined in series
add reciprocals of capacitances (same as parallel resistors)
33
How is capacitance combined in parallel?
add capacitances
34
Explain how capacitance is combined in parallel?
V is same (same in each branch) Charge stored will be different if capacitors are different Q=CV Total Q = Q_1+Q_2 (charge is conserved) CV = C_1V+C_2V V cancels out as same
35
Explain what formula is used for when finding how the pd across a resistor changes with time (capacitor charging)?
V=V0e^-t/RC R is constant , current I decreases exponentially so V=IR mdoes the same
36
Why does the energy stored increase if the separation of two plates of a capacitor are increased?
plates are attracted to each other, work must be done by forces to separate
37
What could be on the y axis of this graph for capacitor discharging over time?
Current I Potential difference across the capacitor V Charge across the capacitor Q
38
What could be on the y axis of this graph for capacitor charging over time?
Current I Potential difference across the resistor
39
Which quantities could vary in this way over time (capacitors)?
time on x axis on y axis option 1: Charging circuit - could be charge on capacitor option 2: Charging circuit - could be potential difference across capacitor option 3: Discharging circuit - could be potential difference across resistor