Carotenoids have a lot of ___ since they derive from ____ unit
conjugated double bonds isoprene
name a few carotenoids sources ?
Draw the isoprene unit

true or false : some carotenoids can be found without double bonds
false, they all derive from isoprene units which contain double bonds so impossible
what will determine the extent at which the carotenoid is an antioxidant?
the lenght of the molecule (more double bonds)
what are the various hydrocarbon carotenoids seen
b-carotene
alpha-carotene
lycopene
when cleaved, alpha carotene yields ___ vitamin A
B-carotene yields ___ vitamin A
alpha carotene = 1
beta carotene = 2
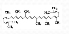
Which molecule is this

alpha carotene
which molecule is this

beta-carotene
which molecule is this

lycopene
which molecule is this

vitamin A
lutein is a ____ carotenoid
oxycarotenoid
which molecule is this

lutein
what is the only difference between b-carotene and lutein
the presence of OH on the ring

does lutein has a vitamin A activity
no because of the presence of the OH on the ring
why does a-cartone yields only one vitamin A upon cleavage
because the position of the double bond on one of the ring is shifted
lycopene:- major pigment in ___ and ___
tomatoes & apricots
what is the difference between lycopene and b-and a-carotene
the ring in the lycopene is open (acyclic hydrocarbon caretnoid)

is lycopene symmetrical?
yes
what are the common oxy-carotenoids we saw in class?
is lutein symmetrical
yes
what are the food sources of lutein
egg yolk, green leaves
which molecule is this

canthaxanthin (a la cantine on a des rigolos)
what is the difference between b-carotene and canthaxhantin
there is a =O on each rings
