Options and BSM Flashcards

(25 cards)

1
Q

(European option) 2-period binomial tree: Upper node - explain how the portfolio/derivative value is calculated

A

Step 1: write up the option characteristics. This includes S(0), interest rate, volatility, strike price, T - t, delta(t), and m (no. of periods).

Step 2: calculate u (up-state) and d (down-state) of the world where u = e^sigma x sqrt delta(t) and d = 1/u.

Step 3: calculate the stock price in the up-up and up-down states of the world.

Step 4: calculate the payoff of the option in the up- and down-state of the world.

Step 5: calculate the position in the MMA and stock that will replicate the payoff of the option.

Step 6: calculate the value of the portfolio/derivative.

The formulas for step 5 and step 6 are shown below

How well did you know this?
1
Not at all
2
3
4
5
Perfectly
2
Q

(European option) 2-period binomial tree: Lower node - explain how the value of the replicating portfolio is calculated in this node

A

Step 1: re-use u and d from the upper node.

Step 2: calculate the stock price in the down-down and down-up states of the world.

Step 3: calculate the payoff of the option in the down-down and down-up states of the world.

Step 4: the portfolio strategy in this node will most likely equal 0, because the payoff of the option in the down-down and down-up states both equal 0.

Step 5: the value of the portfolio will most likely equal 0 too, because the position in the MMA and stock both equal 0.

How well did you know this?
1
Not at all
2
3
4
5
Perfectly
3
Q

(European option) 2-period binomial tree: Last node (t=0) - explain how the value of the portfolio/derivative is calculated

A

Step 1: retrieve the portfolio value from the upper node as well as the lower node.

Step 2: re-use the u and d from the upper and lower node.

Step 3: calculate the stock price in the up- and down-state of the world.

Step 4: calculate the position in the MMA and the stock.

Step 5: calculate the portfolio/derivative value - this is the facit.

The formulas used in step 4 and step 5 are shown below

How well did you know this?
1
Not at all
2
3
4
5
Perfectly
4
Q

Explain how the valuation of American options differs from European options

A

In general, American styled options are pretty easy to value using the binomial tree method. However, as American styled options can be exercised at any given point in time you have to compare the option’s hold on value to its intrinsic value at each “step” in the binomial tree. If the intrinsic value > hold on value the option should be exercised.

So, when you’ve reached t = 0 in the binomial tree you have to check if the intrinsic value or hold on value is the greatest.

The intrinsic value of the option is basically just calculated as the payoff of the option as per usual.

OBS: if the underlying pays dividends that intrinsic value has to be calculated prior to the dividend payment, but the option value has to be calculated using stock prices after the dividend has been paid out.

How well did you know this?
1
Not at all
2
3
4
5
Perfectly
5
Q

Explain how an American styled option is valued using the risk neutral valuation technique

A

Step 1: calculate the risk neutral probabilities.

Step 2: calculate the value at time t = 1 x delta(1) - this is the up-state.

Step 3: calculate the value at time t = 1 x delta(t) - this is the down-state.

Step 4: calculate the value at time t = 0 and compare this value to the intrinsic value of the option. If you’re told that the option is ATM then the intrinsic value = 0.

Formulas for all above steps are shown below

How well did you know this?
1
Not at all
2
3
4
5
Perfectly
6
Q

Stock dynamics: what is the probability that a stock price will be greater than xx in x years?

A

If you have to calculate the probability that a stock price will be greater than xx in x years you have to use the below formula (attached).

You will most likely be given a hint like S(T) > xx when lnS(t) > ln(80). This information will have to be used when then probability is calculated using the standard normal distribution.

How well did you know this?
1
Not at all
2
3
4
5
Perfectly
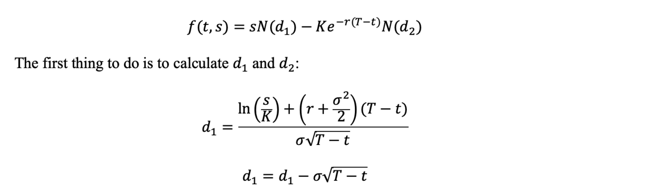
7
Q

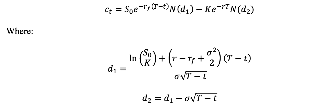
Recite the BSM formulas for valuing a European call option on a non-dividend paying stock

A

The formulas a shown below

How well did you know this?
1
Not at all
2
3
4
5
Perfectly
8
Q

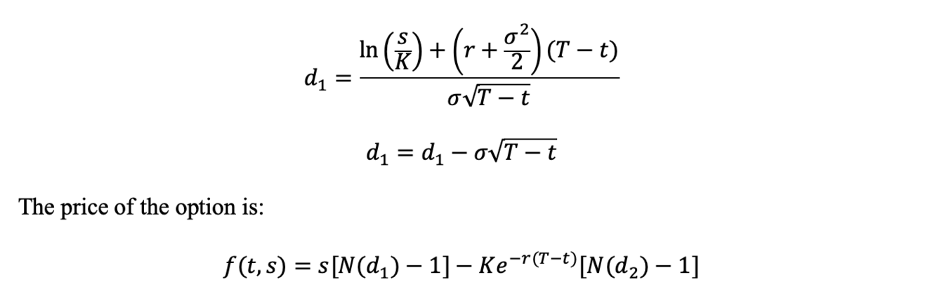
How is delta calculated in BSM model and binomial model?

A

The formulas are shown below

OBS: The more steps you include in the binomial tree the smaller the time increments are going to be. Therefore, as you add more and more steps the discrete time binomial model will begin to resemble the continuous time BSM model.

How well did you know this?
1
Not at all
2
3
4
5
Perfectly
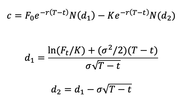
9
Q

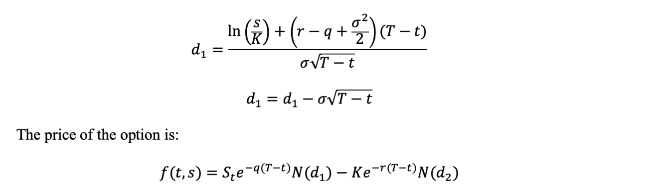
Recite the BSM pricing formulas for a European call option on a stock paying continuous dividends

A

The formulas are shown below

How well did you know this?
1
Not at all
2
3
4
5
Perfectly
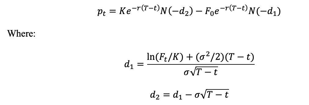
10
Q

Recite the BSM pricing formulas for a European put option on a non-dividend paying stock

A

The only difference from the call option is the pricing formula itself.

The formulas are shown below

How well did you know this?
1
Not at all
2
3
4
5
Perfectly
11
Q

Recite the put-call parity

A

See below

How well did you know this?
1
Not at all
2
3
4
5
Perfectly
12
Q

What adjustments are made if the underlying pays a discrete dividend at a known time?

A

When this is the case no adjustments are made to the pricing formulas for either calls or puts. However, the PV of the future known dividend has to be subtracted from the stock price and then this post-dividend stock price is used in the pricing formulas instead.

How well did you know this?
1
Not at all
2
3
4
5
Perfectly
13
Q

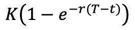
If the underlying pays a discrete dividend at a known time, under which circumstances will an American option be exercised early?

A

If the loss of time value of the strike price is less than the discrete dividend then the option should be exercised before the dividend is paid out.

The loss of time value of the strik price is calculated as:

How well did you know this?
1
Not at all
2
3
4
5
Perfectly
14
Q

Explain how you would go about proving the put-call parity (for European currency options)

A

The answer is assignment 7 in problem set 3

How well did you know this?
1
Not at all
2
3
4
5
Perfectly
15
Q

Recite the BSM pricing formulas for European call index options

A

The formulas are shown below

How well did you know this?
1
Not at all
2
3
4
5
Perfectly
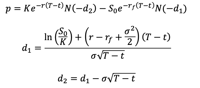
16
Q

Recite the BSM pricing formulas for European put index options

A

The formulas are shown below

17
Q

Recite the BSM pricing formulas for a European call currency option

A

The formulas are shown below

18
Q

Recite the BSM pricing formulas for a European put currency option

A

The formulas are shown below

19
Q

Recite the put-call parity for European currency options

A

The formula is shown below

20
Q

Explain how the stock price affects the option price

A

Stock price: + for calls and - for puts

Call options become more value as they move (deeper) in the money; vice versa for put options.

21
Q

Explain how the stock volatility affects the option price

A

Stock volatility: + for calls and puts
Limited downside risk; increases the chance of very good or very poor outcome. Hence, the “upside” increases with volatility.
Due to the limited downside you’re not too worried about the fact that an increased volatility also increases the probability of making a loss.

22
Q

Explain how option maturity affects the option price

A

Option maturity: + for American calls and puts, + for European calls and puts (unless major dividend payout)
The owner of the American option with longer maturity has a higher chance that the option will end up in-the-money.
Usually the effect for European options is similar to American. The major exception is for stocks with large dividend payouts.
If you hold a call option and the stock has a large dividend payout in some point in time, and by increasing the maturity you’re getting on the other side of this expected dividend payout. After the dividend payout the stock will drop and this means that there will be a smaller likelihood of exercising the call option and making a positive payoff because once the stock drops the chances that S_T>K also falls so we have a smaller likelihood of ending up with a positive payoff and profit.

23
Q

Explain how option strike price affects the option price

A

Strike price: - for calls and + for puts.

Call options have a smaller chance at ending up in-the-money; vice versa for put options.

24
Q

Explain how the risk free interest rate affects the option price

A

Risk free interest rate: + for calls and - for puts.
Increases the expected return required by investors (S to increase), and lowers the present value of future cash flow from the option.
The first effect is expected to dominate the second effect for call options which is why the total effect is positive for call options.
An increase in S is bad for put options, which makes the expected value of the put option decrease. This has to be taken together with the discounting effect so for the put option both effects are negative.

25
Explain what "rebalancing" is with respect to the replicating portfolio technique
The replicating portfolio needs to be rebalanced (changed) at time t = 1, or it will not replicate the option. Rebalancing does not change the value of the portfolio, because the portfolio is self-financing as no money is taken out or being added to the portfolio. (I'm pretty sure) that if we consider a call option we will have a positive portfolio value requiring a rebalance if the stock price rises. If we have a put we will get a positive portfolio value requiring a rebalance if the stock prices decreases. In both cases the rebalancing takes place at time t = 1 (in the first node) An example using a call option is shown below