Quantitative Flashcards

(6 cards)

1
Q

Population Variance

A
How well did you know this?
1
Not at all
2
3
4
5
Perfectly
2
Q

Sample Variance

A
How well did you know this?
1
Not at all
2
3
4
5
Perfectly
3
Q

Correlation Coefficient

A
How well did you know this?
1
Not at all
2
3
4
5
Perfectly
4
Q

Coefficient of Variation

A
How well did you know this?
1
Not at all
2
3
4
5
Perfectly
5
Q

Z-Value

A
How well did you know this?
1
Not at all
2
3
4
5
Perfectly
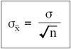
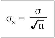
6
Q

Standard Error

A
How well did you know this?
1
Not at all
2
3
4
5
Perfectly