What is an arithmetic sequence?
A list of numbers that change by adding or subtracting the same amount each time.
What is a “common difference, d”?
It’s the amount of increase (or decrease when negative) between terms of an arithmetic sequence.
How can you find d when given two consecutive terms (like u3 and u4) of an arithmetic series?
You subtract the terms. Always the later term minus the earlier one.
u4 - u3 = d
How can you find d when given two non-consecutive terms (like u4 and u8) of an arithmetic series?

You set up a system of equations and solve it (with linSolve).

How can you find un if you already know u1 and d of an arithmetic series?

You plug it into the formula from your booklet.

What’s the difference between un and n?
What’s the difference between un and Sn?
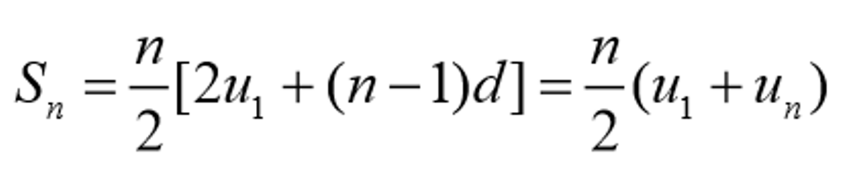
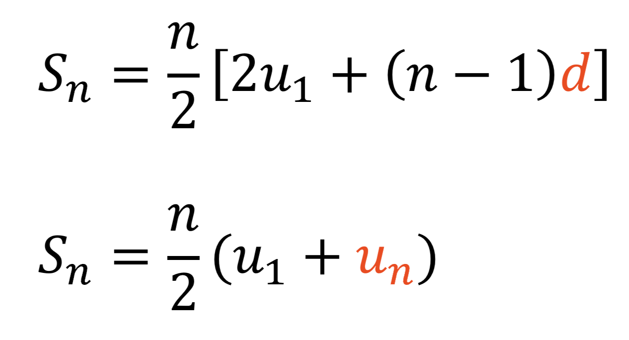
What are context clues that you should be finding Sn?
You see these words in the question:
Your formula booklet has two equations for Sn of an arithmetic sequence.
Which one should you use?

It all comes down to whether you know un or d.

What is a geometric sequence?
A list of numbers that change by multiplying (or dividing) the same amount each time.
What is a “common ratio, r”?
It’s the multiple of increase (or decrease when a fraction less than 1) between terms of a geometric sequence.
How can you find d when given two consecutive terms (like u3 and u4) of an arithmetic series?

You divide the terms. Always the later term divided by the earlier one.
r = u4 ÷ u3

How can you find r when given two non-consecutive terms (like u4 and u8) of an geometric series?

You set up a system of equations and solve it (with nSolve).

How can you find un if you already know u1 and r of a geometric series?

You plug it into the formula from your booklet.

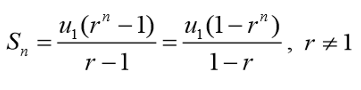
Your formula booklet has two equations for Sn of a geometric sequence.
Which one should you use?

It literally makes no difference. Some people argue that one is better than the other, depending on whether r is greater or less than 1. But this is nonsense. Use either one; it doesn’t matter at all.
What type of sequence (arithmetic or geometric) is it if you are asked about simple interest?

Arithmetic!

If the question talks about “percent increase” or “percent decrease”, what type of sequence is it?

Geometric!
r = 1 + “percent increase”
r = 1 - “percent decrease”

How can you tell when a series exceeds some value?

You set up an equation for when Sn equals that value.
Nsolve to find n.
If n is a decimal number, check Sn for the integer values above and below the decimal number.

What does “converge” mean for a geometric sequence?
It means the terms are getting smaller and smaller and eventually are so small, they’re simply 0.
What has to be true about r for the infinite sum of a geometric series to exist?
r needs to be less than 1 in absolute value so that the terms are getting closer and closer to zero.
r | < 1