Tuhé těleso Flashcards

(5 cards)

1
Q

Moment síly

A
How well did you know this?
1
Not at all
2
3
4
5
Perfectly
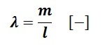
2
Q

Lambda

A
How well did you know this?
1
Not at all
2
3
4
5
Perfectly
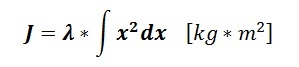
3
Q

Moment setrvačnosti J

A
How well did you know this?
1
Not at all
2
3
4
5
Perfectly
4
Q

Moment setrvačnosti I

A
How well did you know this?
1
Not at all
2
3
4
5
Perfectly
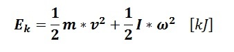
5
Q

Kinetická energie

A
How well did you know this?
1
Not at all
2
3
4
5
Perfectly