Unit 1: Exploring One Variable Data Flashcards

(26 cards)

1
Q

“Describe the distribution…” means to write sentences about…

A

SOCS +C

How well did you know this?
1
Not at all
2
3
4
5
Perfectly
2
Q

SOCS +C

A

Shape, Outliers, Center, Spread, +Context

How well did you know this?
1
Not at all
2
3
4
5
Perfectly
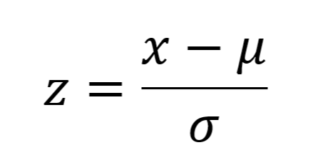
3
Q

z-score formula

A
How well did you know this?
1
Not at all
2
3
4
5
Perfectly
4
Q

What’s the shape of this histogram?

A

skewed right

How well did you know this?
1
Not at all
2
3
4
5
Perfectly
5
Q

What’s the shape of this histogram?

A

skewed left

How well did you know this?
1
Not at all
2
3
4
5
Perfectly
6
Q

What’s the shape of this histogram?

A

symmetric unimodal

How well did you know this?
1
Not at all
2
3
4
5
Perfectly
7
Q

What’s the shape of this histogram?

A

uniform

How well did you know this?
1
Not at all
2
3
4
5
Perfectly
8
Q

What’s the shape of this histogram?

A

symmetric bimodal

How well did you know this?
1
Not at all
2
3
4
5
Perfectly
9
Q

What types of displays can be used with categorical variables?

A

Pie chart, bar graph, segmented bar graph, side-by-side bar graph, mosaic plot

How well did you know this?
1
Not at all
2
3
4
5
Perfectly
10
Q

Name the type of variable that only uses names or categories of the data.

A

Categorical variable

How well did you know this?
1
Not at all
2
3
4
5
Perfectly
11
Q

Name the type of variable that is a measurement.

A

Quantitative variable

How well did you know this?
1
Not at all
2
3
4
5
Perfectly
12
Q

What types of displays can be used with one quantitative variable?

A

stem plot, box plot, histogram, dot plot

How well did you know this?
1
Not at all
2
3
4
5
Perfectly
13
Q

What does this symbol represent?

A

population mean

How well did you know this?
1
Not at all
2
3
4
5
Perfectly
14
Q

What does this symbol represent?

A

Sample mean

How well did you know this?
1
Not at all
2
3
4
5
Perfectly
15
Q

What does this symbol represent?

A

population standard deviation

How well did you know this?
1
Not at all
2
3
4
5
Perfectly
16
Q

What does this symbol represent?

A

sample standard deviation

17
Q

Measures of center are…

A

mean or median

18
Q

Measures of spread are…

A

standard deviation, IQR, or range

20
Q

Range =

21
Q

Definition of standard deviation

A

The average distance the data strays from the mean

22
Q

Interpret a z-score

A

the number of standard deviations above/below the mean

23
Q

When do you use the mean as the center?

A

When the distribution is symmetric

24
Q

When do you use the standard deviation as the spread?

A

When you have used the mean as the center

25
When do you use the median as the center?
When the data is skewed or you are working with box plots
26
When do you use IQR as spread?
When you used the median as center