True or false?
Low solubility fertiliser sources (e.g. ZnO (zinc oxide)) are better off being incorporated with the soil.
True.

True or false?
The yield penalty for P deficiency at establishment is relatively low, so once you notice it, you can apply P and you should be alright.
False; the yield penalty for P deficiency in early crop development is very high, and even if you apply P afterwards, you’re still going to get a yield penalty.
Describe some methods for improving S fertiliser efficiency.
Describe some methods for improving P fertiliser efficiency.
What are the pH-associated reasons for P becoming unavailable at pH above and below 6?
Below pH 6, P is generally made unavailable by forming insoluble iron or aluminium phosphates and adsorbing to oxides and clay.
Above pH 6, P is generally made unavailable by forming insoluble calcium phosphates and being adsorbed to calcium carbonate.

How is N lost from urea ferts, and how can it be minimised/prevented?
Generally as ammonia (gas).
Highest when applied to the soil surface, not very high when banded. Banding also decreases the rate of nitrification, thus reducing the leaching risk.
Can also use urease inhibitors to reduce the conversion of urea to ammonia.
What is the major issue that can be caused by sowing and applying fert at the same time?
If the fertiliser is placed too close to the seed, it can result in salinity (i.e. the fert dessicating the seed by diffusing water away).
True or false?
The amount that P fertilisers diffuse through the soil (and the time they do it in) varies between fertilisers and locations
True.

What is the major natural source of soil potassium?
Weathered feldspars and micas.
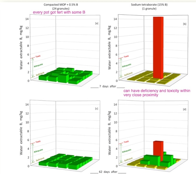
True or false?
Soluble (i.e. liquid) boron (B) is better than granular B.
False (at sowing, anyway). It’s easy to cause toxicity to seedlings by applying liquid B, and to end up with deficiencies later on in the season.
What is a common range of P fertiliser use efficiency in the year of application?
In Australia, 5-15% is common. Can be up to 25%, but that’s very optimistic.
The rest isn’t lost, it’s just adsorbed with varying degrees of strength.
Explain Liebig’s law of the minimum.
Yield will be determined by the most limiting nutrient.
If that nutrient no longer becomes limiting, the yield will be limited by the next limiting nutrient; and so on.
Think of a wooden bucket - it can only hold as much water as the shortest stave will allow.
True or false?
There is strong evidence to suggest that applying zinc foliarly is more effective than other forms.
False; yield responses to foliar Zn are not always consistant, and there isn’t strong evidence that one form is more effective than another.
What is the main issue with coating or incorporating cationic micronutrients with NPK fertilisers (particularly phosphates)?
They form very insoluble phosphate compounds (copper phosphate, manganese phosphate, zinc phosphate).
Being surface-coated also risks losses by abrasion.
In what form is sulfur (S) generally present in soil?
Sulfate (SO42-)
When is the best time to apply K, and how should it be applied?
Banding (5 cm distance horizontally and vertically from seed) before/at seeding is best.

True or false?
The distance that NO3-, K+, and H2PO4- travels in 6 days is increased 3-fold by increasing the volumetric water content from 0.1 to 0.3.
False; it’s actually a 10-fold increase.
Describe some methods for improving N fertiliser efficiency.
True or false?
Soluble (i.e. liquid) Zinc (Zn) is better than granular Zn.
True, especially if applying P or if the soil has a high P concentration.

List some anionic micronutrients and some factors that reduce their availability
CATIONIC MICRONUTRIENTS:
FACTORS THAT REDUCE THEIR AVAILABILITY:
What are the benefits of co-granulating micronutrient fertilisers with NPK(S)?
Often the rate of micronutrient fertiliser application is so low that to be applied together with another fertiliser (but not in the same granule) would result in so few granules being spread/m2 that many plants would go without micronutrient fertilisation entirely, while others may encounter toxic amounts.

In what form is potassium (K) generally present in soil?
Mineral form (K+)
What issues can arise from blending fertilisers?
List some cationic micronutrients and some factors that reduce their availability
CATIONIC MICRONUTRIENTS:
FACTORS THAT REDUCE THEIR AVAILABILITY: