7.1 Inheritance Flashcards

(23 cards)

1
Q

what are 3 principles we can derive from Mendel’s work

A
  • heredity factors do not combine, but are passed on intact
  • a parent transmits half its heredity factors to its offspring
  • the segregation of heredity factors is random
How well did you know this?
1
Not at all
2
3
4
5
Perfectly
2
Q

what does a gene do

A
  • codes for a polypeptide, which govern a characteristic
  • occupies a specific locus on a chromosome
  • is the unit of inheritance
How well did you know this?
1
Not at all
2
3
4
5
Perfectly
3
Q

how do you find out if an individual showing a dominant phenotype is dominant is homozygous or heterozygous

A
  • cross with individual showing recessive phenotype
  • if cross gives offspring uniform dominant phenotypes, the individual is homo
  • if the cross gives offspring with dominant and recessive phenotypes, the individual is hetero
How well did you know this?
1
Not at all
2
3
4
5
Perfectly
4
Q

what is co-dominance

A

when neither allele is recessive e.g. petal colour in snap dragons

How well did you know this?
1
Not at all
2
3
4
5
Perfectly
5
Q

what will the expected ratio be when crossing heterozygous co-dominant alleles

A

1:2:1

How well did you know this?
1
Not at all
2
3
4
5
Perfectly
6
Q

what are multiple alleles

A

when there are 2 or more versions of a gene e.g. blood groups, A and B are dominant and is recessive

How well did you know this?
1
Not at all
2
3
4
5
Perfectly
7
Q

what are sex linked characteristics

A

when the gene is on one of the sex chromosomes (X or Y)
- males are haploid for genes on the X chromosome

How well did you know this?
1
Not at all
2
3
4
5
Perfectly
8
Q

example of a sex linked characteristic

A

haemophilia
- on the X chromosome
- haemophilia will only be expressed in a woman if they are homozygous for the recessive allele
- it will always be expressed in men if they have one recessive allele

How well did you know this?
1
Not at all
2
3
4
5
Perfectly
9
Q

what will the expected ratio be if a female carrier has children with a normal male

A

1:1:1:1

How well did you know this?
1
Not at all
2
3
4
5
Perfectly
10
Q

what are hints to look for in a question if they don’t tell you a characteristic is sex-linked

A
  • more common in males
  • affected females have affected fathers
How well did you know this?
1
Not at all
2
3
4
5
Perfectly
11
Q

what is a dihybrid cross

A

a crossing involving alleles of two genes e.g. seed texture and seed colour

How well did you know this?
1
Not at all
2
3
4
5
Perfectly
12
Q

what is the expected ratio for a dihybrid cross that are both heterozygous for both genes

A

9:3:3:1

How well did you know this?
1
Not at all
2
3
4
5
Perfectly
13
Q

what is linkage

A

when 2 or more genes that are located on the same chromosome
- SO they will not segregate independently during meiosis

How well did you know this?
1
Not at all
2
3
4
5
Perfectly
14
Q

how are linked alleles different in a dihybrid cross

A

only 2 possible combinations will occur
- so the expected ratio will be 1:2:1 when both parents are heterozygous

How well did you know this?
1
Not at all
2
3
4
5
Perfectly
15
Q

what does linkage reduce

A

phenotypic variety

How well did you know this?
1
Not at all
2
3
4
5
Perfectly
16
Q

what is epistasis

A

the allele of one gene affects or masks expression of another gene in the phenotype

17
Q

when does epistasis occur

A

when phenotypes are polygenic (controlled by more than one gene)

18
Q

what could epistasis look like

A
  • when the first enzyme is non-functional, the second would not be seen
  • when genes code for a transcription factor
19
Q

why do we use Chi2

A

to measure how well the observed population data fits the expected data

20
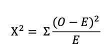
Q

what is the equation to calculate chi2

21
Q

how to calculate E

A

total population x phenotype probability

22
Q

how to determine the critical value from the table

A

p = 0.05
degrees of freedom = number of phenotypes - 1

23
Q

what happens if the calculated value is greater than the critical values table

A
  • the probability that the difference between the observed and expected values was due to chance is less than p = 0.05
  • we can reject the null hypothesis
  • there is a significant difference between the observed and expected values, and the population does not fit the ratio