D. oxidation-reduction
A. 1-bromobutane
C. 2-bromo-2-methylbutane

D) 4

B) 2
D. 2-methyl-2-propanol

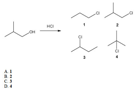
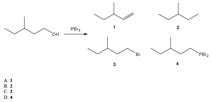
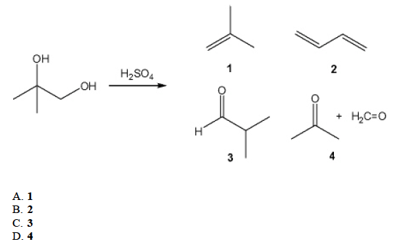
C. 3
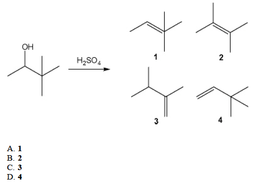
a tertiary cation

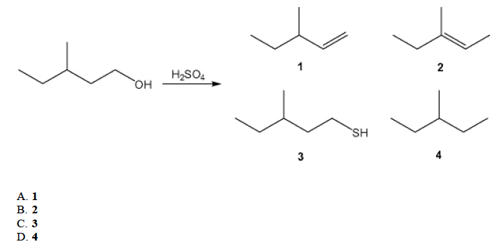
B. 2

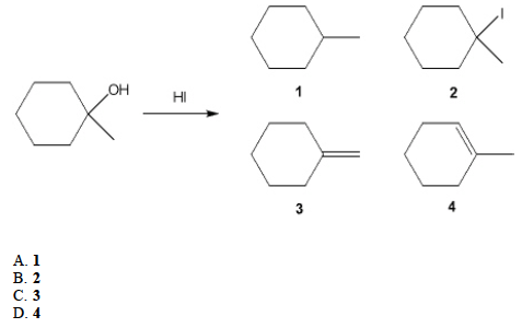
D. 4

C. 3

D) 4

D) 4

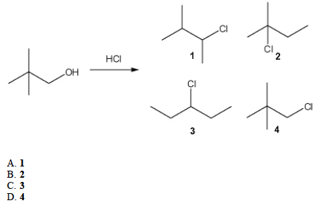
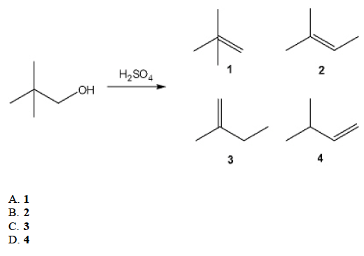
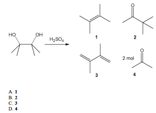
A) 1
A. 1-methylcyclopentene
C. 2,3-dimethyl-2-butene
C. trans-2-butene
D. 2-methyl-2-propanol

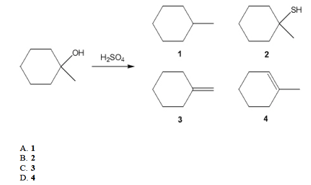
C. 3

B. 2

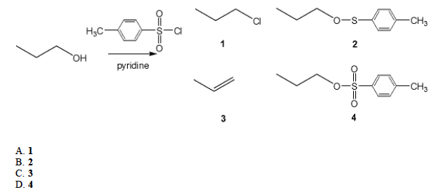
B) 2

B. 2

C. 3

C. butanone, CH3CH2COCH3