
D. 1, 2, 3 and 4

B. only 3 and 4

A. 1 = oxirane; 2 = oxetane; 3= oxolane

D. 1 = oxirane; 2 = oxolane; 3 = oxane

A. only 1
A. only 1
B. only 1 and 2
C. only 1 and 3
D. 1, 2, and 3
D. 1, 2 and 3

C. cis-1,4-dimethoxycyclohexane

B. 2-ethylsulfanylpropane

B. 2

C. 3

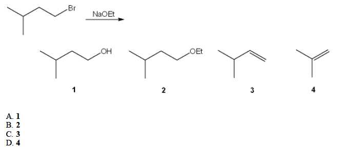
A. 1
C. sodium phenoxide (PhONa) + bromomethane
A. potassium tert-butoxide + iodomethane
A. tert-butyl phenyl ether

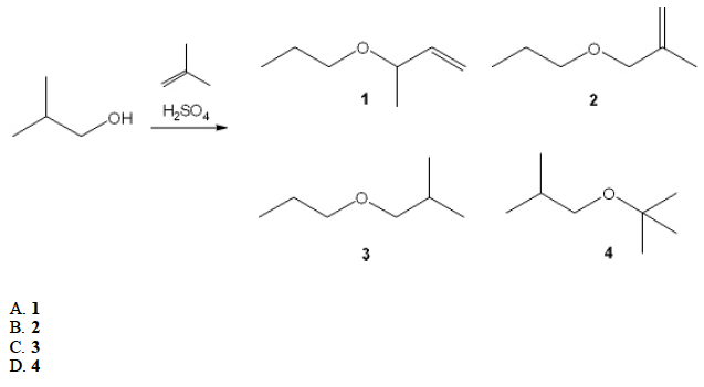
B. 2

D. 4

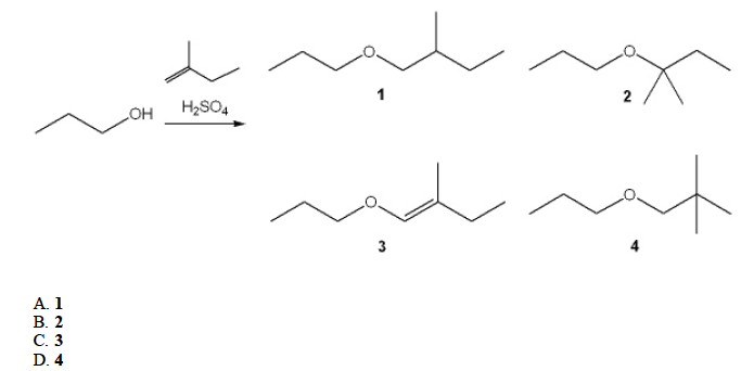
B. 2
D. tert-butyl cation
B. SN2
A. SN1
C. phenol and bromomethane
D. tert-butyl bromide and bromomethane
A. tert-butyl cation

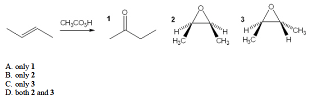
C. only 3