Carbohydrates Flashcards

(32 cards)

1
Q

Monosaccharides are simple sugars that consist of a _______ unit.

A

single polyhydroxy aldehyde or ketone

How well did you know this?
1
Not at all
2
3
4
5
Perfectly
2
Q

What is the name of this molecule that is an aldehyde with 3 carbons and 2 hydroxyl groups.

A

glyceraldehyde or aldotriose

How well did you know this?
1
Not at all
2
3
4
5
Perfectly
3
Q

What is the name of this molecule that is a ketone with 3 carbons and 2 hydroxyl groups.

A

dihydroxyacetone or ketotriose

How well did you know this?
1
Not at all
2
3
4
5
Perfectly
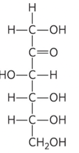
4
Q

What is the name of this molecule that is an aldehyde with 6 carbons and 5 hydroxyl groups.

A

D-glucose or aldohexose

How well did you know this?
1
Not at all
2
3
4
5
Perfectly
5
Q

What is the name of this molecule that is a ketone with 6 carbons and 5 hydroxyl groups.

A

D-fructose or a ketohexose

How well did you know this?
1
Not at all
2
3
4
5
Perfectly
6
Q

What is the name of this molecule that is an aldehyde with 5 carbons and 4 hydroxyl groups.

A

D-ribose or aldopentose

How well did you know this?
1
Not at all
2
3
4
5
Perfectly
7
Q

What is the name of this molecule that is a ketone with 5 carbons and 4 hydroxyl groups.

A

2-deoxy-D-ribose or aldopentose

How well did you know this?
1
Not at all
2
3
4
5
Perfectly
8
Q

What is the name of this molecule that is an aldehyde with 6 carbons and 5 hydroxyl groups. Is it L or D confi.

A

D-glucose

How well did you know this?
1
Not at all
2
3
4
5
Perfectly
9
Q

What is the reference carbon?

A

carbon 5

Remember the reference carbon is the chiral carbon that is the furthest away from the carbonyl group.

How well did you know this?
1
Not at all
2
3
4
5
Perfectly
10
Q

What does this picture tell you?

A

That D-mannose and and D-glucose are epimers at C2.

Remember epimers are sugars that have the same structure but differ by the L/D position of the hydroxyl group.

How well did you know this?
1
Not at all
2
3
4
5
Perfectly
11
Q

What does this picture tell you?

A

D-glucose and D-galactose differ at C4

How well did you know this?
1
Not at all
2
3
4
5
Perfectly
12
Q

What’s an anomeric carbon

A

is a carbon between 2 oxygen groups

How well did you know this?
1
Not at all
2
3
4
5
Perfectly
13
Q

what is the anomeric carbon in this molecule?

A

did you find it?

How well did you know this?
1
Not at all
2
3
4
5
Perfectly
14
Q

Is the anomeric carbon alpha or beta? How can you tell the difference?

A

it’s a beta carbon because the -OH is pointing upwards. If the -OH is pointing downwards, then it would be an alpha carbon.

How well did you know this?
1
Not at all
2
3
4
5
Perfectly
15
Q

T/F The alpha conformation is more stable than the beta conformation of an anomeric carbon.

A

False

How well did you know this?
1
Not at all
2
3
4
5
Perfectly
16
Q

Name this molecule

17
Q

Name this molecule

18
Q

Is this a hemiacetal or an acetal?

A

hemiacetal because the anomeric carbon is bonded to an ether group and a hydroxy group.

19
Q

Which of the following allomeric carbons is an acetal?

A

the first arrowed carbon.

20
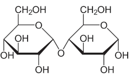
Q

Which of the following is NOT true regarding this molecule.
a) Two glucose molecules form a maltose molecule via condensation reaction.
b) A maltose molecule can be converted back into two glucose molecules via hydrolysis reaction.
c) The reducing end in this molecule is pointed by the first arrow.
d) The glycosidic bond is formed from the acetal of one glucose molecule and the hydroxyl group of the other glucose molecule.
e) more than one answer is false.

21
Q

Ologosaccharides are short chains of monosaccharides units joined by
a) hydrogen bonds
b) ester bonds
c) glycosidic bonds
d) amide bonds

22
Q

T/F Disaccharides are oligosaccharides with 3 monomeric units.

23
Q

Which of the following is true?
a) two glucose molecules form maltose.
b) one glucose molecule and one fructose molecule form maltose
c) one fructose molecule and one glucose molecule form lactose
d) one galactose molecule and one fructose molecule form sucrose.

A

a

Remember:
- two glucose molecule form maltose
- one glucose and one fructose form sucrose
- one glucose and one galactose form lactose

24
Q

What are the subunits and type of linkage (alpha/beta) of this molecule? Does it have a reducing end?

A

subunits: maltose
linkage: alpha
It has a reducing end

25
T/F Homopolysaccharides are polysaccharides that contains different subunits.
False, they contain the same subunit.
26
Polysaccharides are sugar polymers with _____ or more monosaccharide units.
10
27
T/F Cellulose is an example of a linear polysaccharide whereas glycogen is an example of a branched polysaccharide.
True
28
How are carbohydrates linked to polypeptide chains?
1. O-glycan - which means carbohydrates are liked through the OH of serine or threonine 2. N-glycan - which means carbohydrates are linked through the amino group of asparagine.
29
Polymer of alpha 1→4 linked glucose subunits with alpha 1→6 branches
glycogen
30
Long unbranched D-Glucose residue with alpha 1→4
starch
31
Polymer of beta 1→4 D-Glucose linked units
Cellulose
32