Examples of Soft-Matter
proteins, membranes, polymers, colloids, liquid crystals
Polymer Model Goals
measure diffusion or other thermodynamic observables in corase-grained models
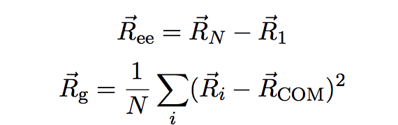
End-to-End Distance and Radius of Gyration

Ideal Chain Polymer

Types of Solvent
statistics of polymer depend on the solubility of polymer in solvent
Θ-Solvent
Good Solvent

Poor Solvent
FENE Model

Flory Exponent
characterizes the scaling of radius of gyration

Flory Exponent for Solvent Types

Lattice Models
model polymers on a lattice

Polyelectrolyte
charged polymer with fractional charges
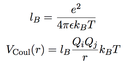
Bjerrum Length
separation distance needed such that VCoul = kT

Polyelectrolyte T=0 Groundstate and Flory Exponent
Blob Theory
