Dissipative Particle Dynamics

Lattice Boltzmann Method

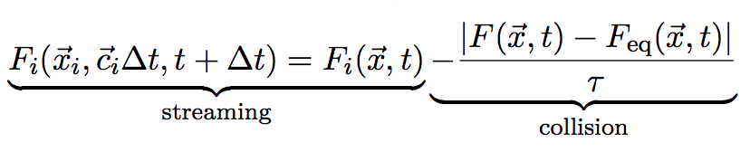
LBM Algorithm

LBM Input Parameters

LBM Boundary Conditions
slip length S

LBM Measurements
can measure macroscopic obsersavbles

LBM + MD (Overview)
two parts
LBM + MD (MD Part)

LBM + MD (LB Part)

LBM + MD (Coupling)
LBM + MD (Algorithm)
