Describe the flow of genetic information
DNA replication:
-Informational function units: genes and nucleic acid sequence
-Genetic elements: chromosomes and plasmids
-Information macromolecules: nucleic acid (DNA/RNA) and proteins
Transcription:
-mRNA
-tRNA
-rRNA
-Eukaryote = 1 gene, bacteria and archaea = more than one gene
Differentiate genotype and phenotype
Genotype:
-segments of DNA molecules are called genes and individual genes contain the instructional code necessary for synthesizing various proteins, enzymes or stable RNA molecules
-The full collection of genes that a cell contains is genotype
-Remains constant but does not express all simultaneously
Phenotype:
-Set of genes being expressed at any point in time that determine cell activity and observable characteristics (specific protein encoded by an individual gene)
-May change in response to environmental signals (e.g., changes in temp or nutrients)
What are the enzymes and their functions of DNA replication?
Topo IV and gyrase are unique to bacteria
Describe the steps of DNA replication in bacteria
Semi-conservative: each new DNA molecules is made up of one original strand and one new strand
Initiation:
-Superoicled chromosome is relaxed by topoisomerase II (DNA gyrase) and prevents overwinding with temporary nicks then reseals
-Helicase separates the DNA strands (breaks H bonds between nitrogenous base pairs)
-As DNA opens, Y-shape structures (replication forks) are formed at the origin of replication for bidirectional replication which are coated by single-stranded binding proteins to keep separation
-RNA Primase synthesizes nucleotides to begin replication
-DNA pol III adds nucleotides by extending the primer in 5’-3’ direction on leading strand (toward replication fork)
Elongation:
-The lagging strand must be synthesized toward replication fork as parent strand grows away from it
-Polymerase moves back to replication fork to add bases to a new primer until it bumps into previously synthesized strand and moves back again
-DNA is synthesized in small okazaki fragments each separated by RNA primer
-Sliding clamp (ring shape protein) holds DNA polymerase as it adds nucleotides
-Primers are removed by exonuclease activity (DNA pol I)
-Nicks between newly synthesized DNA (replaced RNA primer) are sealed by DNA ligase
Termination:
-Topoisomerase IV introduces double-stranded breaks into DNA molecules to separate and then reseals
Describe the steps of transcription in bacteria
-DNA is the template, one strand of mRNA is transcribed antiparallel and complementary
-Single gene = open reading frame (ORF) with start to stop codon
-Two or more genes = co-transcribed, polycistronic/operons (multiple proteins from one mRNA strand due to cotranscription/translation of operon)
-No primer is needed, uses core enzyme (holoenzyme) to add RNA nucleotides (synthesis in RNA polymerase) and sigma factors (recognized specific promoter regions for binding and transcription of various genes)
Initiation:
-Transcription begins at 5’ on a promoter
-(-10) and (-35) positions are perfect matches/strong promoters across various bacterial species (due to 3D folding of structure)
Elongation:
-DNA is continuously unwound before and rewound behind synthesization
Termination:
-Specific sequences
-Stem loop: GC-rich sequence, inverted loop (lollipop), RNA pol pauses
-Rho-dependent: termination site, Rho causes RNA to release (fall off)
Describe the steps of translation in bacteria
-mRNA converts genetic information into amino acids to create a protein
-each aa is defined by triplet of nucleotides (codon)
-First two positions are important, third is ‘wobble position’ where different nucleotides produce same aa
-3 codons terminate protein synthesis
Ribosomes:
-Prokaryotes 70S (small=30S, large=50S)
-Eukaryotes 80S (small=40S, large=60S)
-Small subunit is responsible for binding mRNA template
-Large subunit binds tRNAs
-Synthesizes protein in 5’-3’ (same as transcription) and can occur simultaneously only in prokaryotes (polyribosomes inside the cytoplasm)
tRNA:
-binds to specific codon on mRNA template with anticodon (reverse complimentary) and adds corresponding aa to polypeptide chain
Initiation:
-Formation of transitional (initiation) complex (fMET), 30S anchors to mRNA template and 50S binds
Elongation: translocation of 3 sites (single-codon movements of ribosome)
-A site binds tRNAs
-P site binds tRNAs carrying aa that formed peptide bonds in polypeptides
-E site carries out removal
Termination:
-Stop codon encountered (no complimentary tRNA) by release factor in E site, amino acid detaches from tRNA and releases the newly made polypeptide
-Small and large ribosome subunit dissociate from mRNA and each other, restarts process
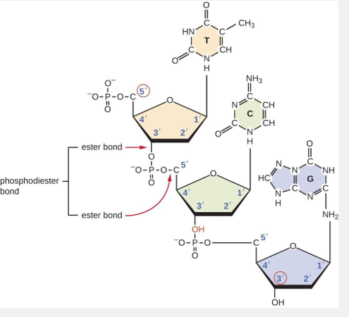
Describe the structure of DNA
-Deoxynucleotides 5’-triphosphate (dNTP)
-Free hydroxyl group
-From 5’ end to the 3’ end
-Double helix
-Antiparallel (complementary and reverse)
Describe the function of DNA in prokaryotes vs eukaryotes
-Genetic information has no structural function
Organized into a chromosomes: (much bigger than cell)
Bacteria:
-Single and circular
-Multiple and linear
-Haploid (1 copy + 1 chromosome)
-Supercoil (twist) by topoisomerase
-Lack histone
Eukarya:
-Diploid (haploid to multiploidy), more than 1 chromosome
-Linear (mitochondria are circular)
-Histone (wrap around protein)
Archaea:
-Single circular (multiple?)
-supercoil + histone?
-Haploid (multiploid?)
Extrachromosomal DNA:
-Gene that are non-essential
-Plasmid (circular or linear)
-Bacteria and archaea, some single cell eukaryotes
-Mitochondrion and chloroplasts
Describe the structure of RNA
What are the roles of RNA?
Describe protein processing
Differentiate transcription and translation in eukaryotes vs prokaryotes
Transcription:
Bacteria:
-Unique RNA polymerase with sigma factor
-Simple promoter
-Termination by stem loop or Rho
-No processing
-Polycistronic mRNA (genes encoded for multiple proteins within single transcript (operon) )
Eukarya:
-Unique RNA polymerase
-Complex promoter
-Termination by protein complex (telomerase)
-Intron and exon capping
-Polyadenylation
-Monocistronic mRNA
Translation:
Bacteria:
-coupled transcription+translation
-30S/50S/70S
-Ribosome binding site
-fMET start codon
Eukarya:
-Outside nucleus
-40S/60S/80S
-MET