Challenges to territorial ratemaking
Territorial ratemaking generally involves two phases
Two major issues calculating the Geographic Estimator with univariate techniques
What are two Spatial smoothing techniques used to improve estimate of unit by using info from nearby units?
Basic Clustering Routines
-Quantile methods –Use equal number of observations -Similarity methods –Based on how close estimators are -Note - do not naturally produce contiguous groupings –Need to add contiguity constraint if that is desired
Importance of ILFS growing for several reasons
Why would you choose to vary the profit provision by limit
Give an example why frequency may vary by limit chosen
E.g. Personal Auto - person who chooses high limit tends to have lower frequency -may be due to fact that individual choosing higher limit may be more risk averse
Additional Considerations performing ILF Ratemaking
Fitted Data Approach
Fit curves to empirical data

Multivariate Approach to ILFs
Two Basic Types of Deductibles
Some reasons deductibles are used
Other considerations to deductible ratemaking
Fitted Data Approach to deductible pricing
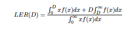
LER Can be calculated given a continuous distribution of losses

Practical Considerations to Deductible Pricing
Options to account for different expected expense and loss levels for larger insureds
Three ways to adjust for large policies being overcharged for expenses
Explain why loss experience is generally better on large risks than on small risks
Coinsurance apportionment ratio
Ratio of insured amount to either (i) a stated sum, or (ii) a specified percentage of the value of the insured property -Max ratio is 1
Coinsurance requirement
Least amount of insurance for which apportionment ratio =1
Coinsurance defiency
Amount by which coinsurance requirement exceeds carried insurance
Coinsurance penalty
Amount (greater than zero) by which an indemnity payment for a loss is reduced by operation of a coinsurance clause -Note: no coinsurance penalty exists if full policy face amount is paid, whether or not a coinsurance clause applies
Insurance to value
Property is insured to the exact extent assumed in the premium rate calculation