O que são os números complexos?
O fato de um número negativo não ter raiz quadrada parece ter sido claro para os matemáticos que se depararam com esta questão, até a concepção do modelo dos números complexos. Um número complexo é um número z que pode ser escrito na forma z = x + yi, sendo x e y números reais e i denota a unidade imaginária.

Números complexos, quadro 1

Números complexos, quadro 2
divisão multiplicação
forma algébrica Z = a + bi
forma em coordenadas Z = (x , y)

Números complexos, quadro 3

Números complexos, quadro 4
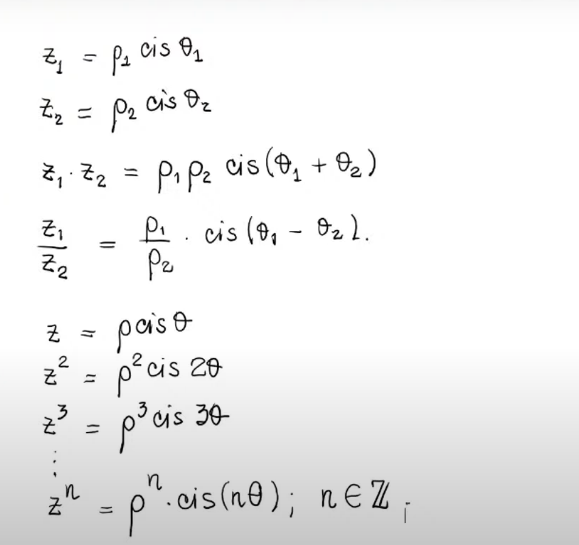
coordenadas polares


Números complexos, quadro 5
multiplicação divisão

Resolução de questão…
