Water: Noncovalent Interactions Flashcards

(12 cards)

1
Q

What are the three types of Van der Waals?

A
How well did you know this?
1
Not at all
2
3
4
5
Perfectly
2
Q

Define dipole.

A

Neutral molecules were the center of gravity of the negative charge does not coincide with the center of gravity of the positive.

How well did you know this?
1
Not at all
2
3
4
5
Perfectly
3
Q

What is the “van der waals envelope”?

A

“ surface of the molecule”

How well did you know this?
1
Not at all
2
3
4
5
Perfectly
4
Q

Do atoms from different molecules come closer together than the sum of their van der waals radii?

A

Very rarely EXCEPT for the “hydrogen bond”

How well did you know this?
1
Not at all
2
3
4
5
Perfectly
5
Q

What is notable about water? The Å length of the O-H bond?

A
  1. Nonlinear molecule
  2. Carries permanent dipole moment
  3. Bond about 1 Å long.
How well did you know this?
1
Not at all
2
3
4
5
Perfectly
6
Q

10 Å = x nm = y m

A

x=1
y=10^-9

How well did you know this?
1
Not at all
2
3
4
5
Perfectly
7
Q

What is the length of the covalent O-H bond and the H-bond’s respectively? Bonus: O-O interaction?

A
How well did you know this?
1
Not at all
2
3
4
5
Perfectly
8
Q

As ice, how many H-bonds does water make?

A

4 H bonds.

How well did you know this?
1
Not at all
2
3
4
5
Perfectly
9
Q

As liquid, how many H-Bonds does water make?

A

<4 H Bonds. (To much rapid movement to have 4, like ice)

How well did you know this?
1
Not at all
2
3
4
5
Perfectly
10
Q

Why is water so crucial for life on earth?(2)

A
  1. Water as ice becomes less dense than liquid (more open lattice formation of H-bonds). Making ice float to the top and act as an insulator for early life forms.
  2. Because of so many H-bonds, water has a very high boiling point for how small a molecule it is, allowing it to stay liquid when most other same sized molecules are gas.
How well did you know this?
1
Not at all
2
3
4
5
Perfectly
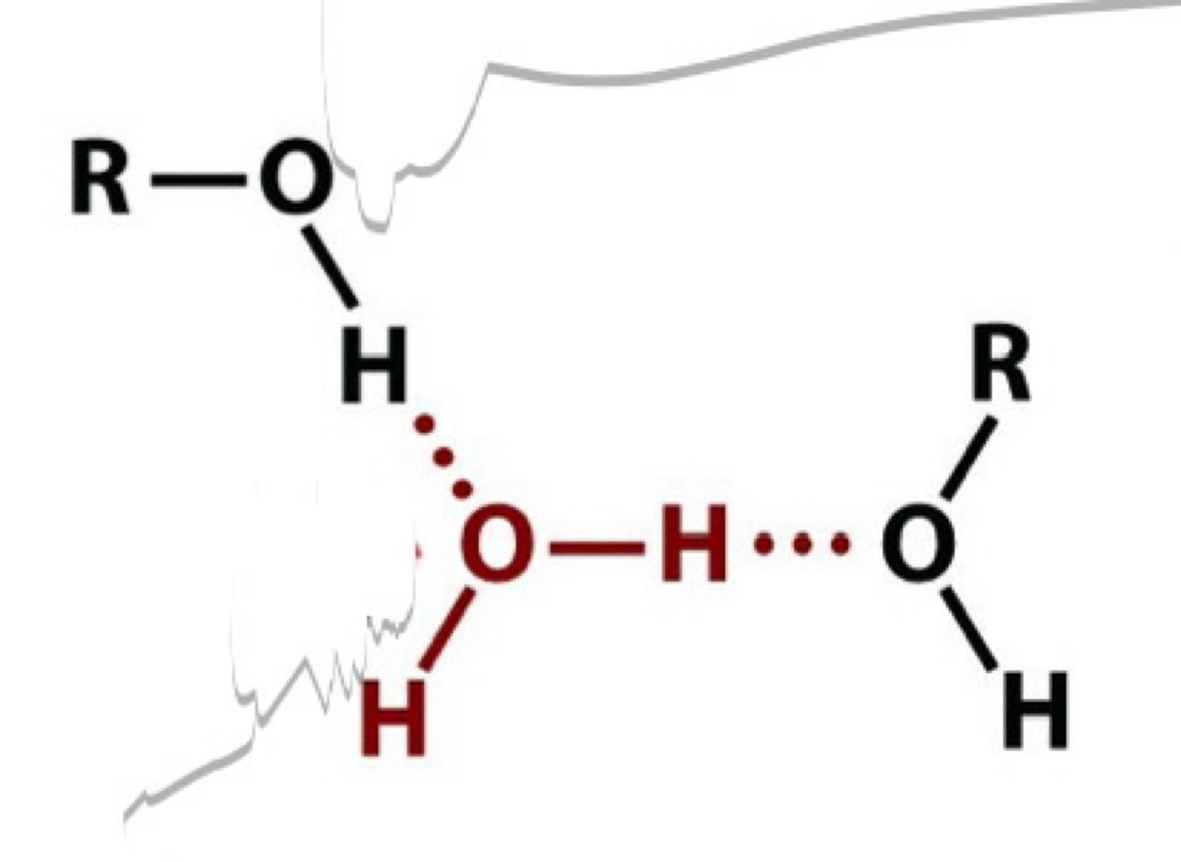
11
Q

What are the H-Bond donors and acceptors of this picture? What elements are acceptors in this class? What about donors?

A
Donors : O-H, N-H. Acceptors: O, N
How well did you know this?
1
Not at all
2
3
4
5
Perfectly
12
Q

What is a hydration shell?

A

When the permanent dipoles of water molecules interact very favorably with charged ions and solution.
Note: NOT ALL SALTS DISSOLVE READILY IN WATER

How well did you know this?
1
Not at all
2
3
4
5
Perfectly