Weitere Transformationen und Signale Flashcards

(21 cards)

1
Q

Welche Transformation nimmt man für nicht periodische und kontinuierliche Zeitsignale?

A

Die Fourier Transformation

How well did you know this?
1
Not at all
2
3
4
5
Perfectly
2
Q

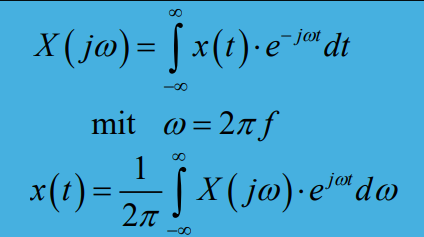
Wie leitet man sich die Fourier Transformation her?

A
  • Man betrachtet ein zeitlich begrenztes Signal x(t)
  • Man lässt Tp (Periodendauer= unendlich werden
  • Somit läuft w0 gegen 0
  • Kreisfrequenz w wird kontinuierlich
  • (Laplace transformation mit s = sigma * (-j)wt, sigma = 0)
How well did you know this?
1
Not at all
2
3
4
5
Perfectly
3
Q

Was für ein Spektrum bekommt man von der Fourier Transformation?

A

Man erhält ein kontinuierliches nicht periodisches Spektrum -> Stab Spektrum wenn es nicht zu viele frequenzanteile gibt

How well did you know this?
1
Not at all
2
3
4
5
Perfectly
4
Q

Wofür benutzt man die Laplace transformation?

A
  • Das Verhalten von Systemen wird mit der Laplace- Transformation beschrieben
  • Die Übertragungsfunktion H(s) kann aus der allgemeinen Differentialgleichung gebildet werden und umgekehrt
How well did you know this?
1
Not at all
2
3
4
5
Perfectly
5
Q

Wann benutzt man die Laplace transformation und wie ist das Spektrum?

A
  • Für exponentiell gedämpfte kontinuierliche Zeitsignale
  • Das Spektrum ist kontinuierlich und nicht periodisch
How well did you know this?
1
Not at all
2
3
4
5
Perfectly
6
Q

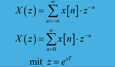
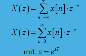
Was ist die Z Transformation?

A

Die z-Transformation wird für die Analyse, Beschreibung und Entwurf von digitalen Systemen verwendet nicht für Signale

How well did you know this?
1
Not at all
2
3
4
5
Perfectly
7
Q

Wann benutzt man (theoretisch) die z Transformation und wie ist ihr Spektrum?

A
  • Für exponentiell gedämpfte, diskrete Zeitsignale
  • Das Spektrum ist kontinuierlich und periodisch
How well did you know this?
1
Not at all
2
3
4
5
Perfectly
8
Q

Was ist die Fourier-Transformation für Abtastsignale?

A
  • Die Fourier Transformation wenn die Zeitwerte diskret sind
  • Es muss eine Normierung der Frequenz geschehen
How well did you know this?
1
Not at all
2
3
4
5
Perfectly
9
Q

Wie berechnet man groß Omega und was ist es?

A
  • Groß Omega ist eine Normierung der Frequenz
How well did you know this?
1
Not at all
2
3
4
5
Perfectly
10
Q

Wann benutzt man die Fourier Transformation für abgetastete Signale und wie ist das Spektrum?

A
  • Bei einem nicht periodischen diskreten Zeitsignal
  • Das Spektrum ist kontinuierlich und periodisch
How well did you know this?
1
Not at all
2
3
4
5
Perfectly
11
Q

Was sollte man bei der Analyse von Signalen möglichst immer machen?

A
  • Systeme möglichst immer vereinfachen
  • Bei zueinander Orthogonalen Signalkomponenten kann jede isoliert betrachtet werden
  • Dadurch muss man immer nur eindimensionale Signale betrachten
  • Man darf dabei jedoch nie das Gesamtsystem aus den Augen verlieren
How well did you know this?
1
Not at all
2
3
4
5
Perfectly
12
Q

Kann man ein System zerlegen wenn der Output am Menschen liegt?

A

Nein man kann ein System bis zu dem Zeitpunkt zerlegen bis es den Menschen erreicht, denn der Mensch kann nur die Gesamtheit eines Systems betrachten

How well did you know this?
1
Not at all
2
3
4
5
Perfectly
13
Q

Was ist ideale Äquidistante Abtastung?

A
How well did you know this?
1
Not at all
2
3
4
5
Perfectly
14
Q

Was ist ein deterministisches Signal und was sind die Eigenschaften?

A
  • Sind vorhersehbar und berechenbar
  • gehorchen Gesetzmäßigkeiten
  • periodische Signale sind deterministisch
  • Verwendung in der Messtechnik, Systemanalyse und Nachrichtentechnik
How well did you know this?
1
Not at all
2
3
4
5
Perfectly
15
Q

Was sind stochastische Signale und ihre Eigenschaften?

A
  • Haben ein Zufälliges Element
  • haben einen unvorhersehbaren Verlauf und können nicht in Formeln beschrieben werden
  • Zur Beschreibung nutzt man stochastische Kenngrößen
How well did you know this?
1
Not at all
2
3
4
5
Perfectly
16
Q

Was sind reale Signale und ihre Eigenschaften?

A
  • Sind oftmals eine Überlagerung von deterministischen Signalen mit stochastischen Signalen (Rauschen)
  • Einer der Hauptaufgaben der Signalverarbeitung ist es die stochastischen Anteile aus dem Signal zu nehmen -> Filterung
  • Nachrichtentechnik beschäftigt sich intensiv mit den stochastischen Signalen
17
Q

Warum ist es wichtig auf den Wertebereich in einem digitalen System/Signal zu achten?

A
  • Durch äußere einwirkung kann es immer zu Störungen im Wertebereuch kommen
  • Es muss bekannt sein wie das System auf Fehler reagiert
  • Betrachtet man keine Ausnahmesituationen ist dies grob Fahrlässig und kann zu undefinierten Verhalten im System kommen
  • Jenachdem was für ein System es ist (bspw. Flugzeug) können Menschenleben oder viel Geld daran hängen
18
Q

Welche Fragen sollte man sich bei der Über/Unterschreitung des Wertebereiches stellen?

19
Q

Was ist ein Limiter beim Fehlerverhalten?

A

Wenn es einen maximalen Wertebereich gibt und dieser Überschritten wurde und somit der Abschnitt nicht definiert ist

20
Q

Was ist ein Wrap Around beim Fehlerverhalten?

A
  • Entsteht bei zu klein gewählten Zahlenbereich
  • Springt von einer Wertebereichsgrenze zur anderen (wie beim Integer Overflow)
  • Fehlersignal hat sehr hohe Energie
  • passiert meistens innerhalb von Berechnungen
  • Fehler ist deterministisch und kann behoben werden
21
Q

Was ist (stochastisches) unbestimmtes Verhalten beim Fehlverhalten?

A
  • Oft ist verhalten außerhalb des Wertebereichs unbestimmt
  • Signal ist zufällig und hat oft hohe Energie
  • Fehler ist stochastisch und kann nicht korrigiert werden
  • Fehlerzustand oft nicht im Signal erkennbar
  • Benötigt oft zusätzliche Hardware