3.2.3 Surfactant Structure - Function Flashcards

(29 cards)

1
Q

How can a defect in SP-B lead to RDS?

A
How well did you know this?
1
Not at all
2
3
4
5
Perfectly
2
Q

Phosphatidyl ethanolamine and serine combine to for what?

A
How well did you know this?
1
Not at all
2
3
4
5
Perfectly
3
Q

Surfactant is secreted from the T2 pneumocyte in a?

A

Lamellar body

How well did you know this?
1
Not at all
2
3
4
5
Perfectly
4
Q

What is important about the L/S ratio an lung maturation?

A

The critical value of L/S ratio is 2.

How well did you know this?
1
Not at all
2
3
4
5
Perfectly
5
Q

After a series of reaction Serine yields CDP-ethanolamine. This combines with what to yield what?

A

Diacylglycerol to yield PE

How well did you know this?
1
Not at all
2
3
4
5
Perfectly
6
Q

What are the steps of sphingomyeline synthesis?

A
How well did you know this?
1
Not at all
2
3
4
5
Perfectly
7
Q

What are the two most important lipids in generating surfactant?

A

Lecithen and sphingomyelin

How well did you know this?
1
Not at all
2
3
4
5
Perfectly
8
Q

How is surfactant sent to the surface?

A
How well did you know this?
1
Not at all
2
3
4
5
Perfectly
9
Q

What are some of the roles of SP-A and SP-D?

A
How well did you know this?
1
Not at all
2
3
4
5
Perfectly
10
Q

What occurs in fetal development between the 32nd and 36th week?

A

This allows for an increase in the L/S levels

How well did you know this?
1
Not at all
2
3
4
5
Perfectly
11
Q

When looking at these TLC results of L/S ratios which would be worrysome?

A

A - Normal ratio

B - 1.6 - should mature more

C - 0.8 Worrysome

How well did you know this?
1
Not at all
2
3
4
5
Perfectly
12
Q

What is some post-natal treatment of RDS?

A
How well did you know this?
1
Not at all
2
3
4
5
Perfectly
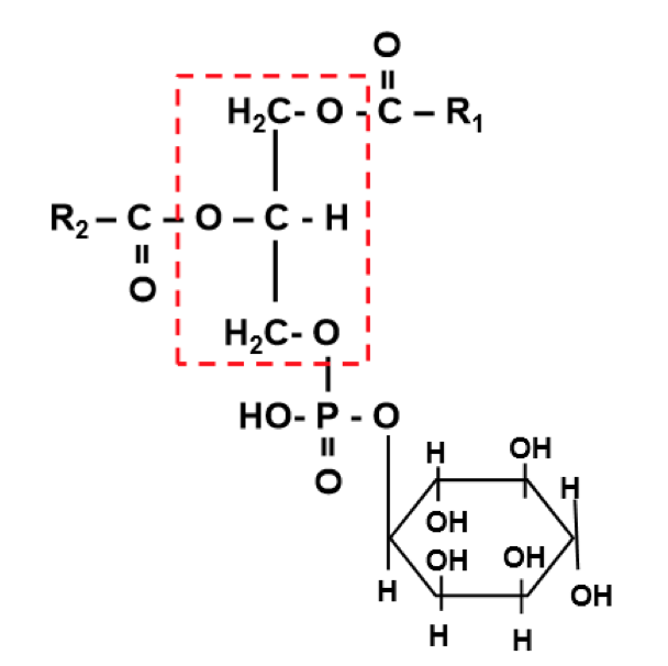
13
Q

What is this?

A

Phosphatidyl Glycerol (PG)

How well did you know this?
1
Not at all
2
3
4
5
Perfectly
14
Q

What is this?

A
How well did you know this?
1
Not at all
2
3
4
5
Perfectly
15
Q

What is this an image of?

A
How well did you know this?
1
Not at all
2
3
4
5
Perfectly
16
Q

What are some methods to aid in RDS?

17
Q

CDP - diacylglycerol and Inositol combine to form what?

18
Q

What are some other causes of RDS?

A

Also protease excess caused by smoking.

19
Q

What is the basic process for the synthesis of dipalmitoylphosphatidylcholine (lecithin)?

20
Q

What are the important proteins in SURFactant?

A

SP - A, B, C, D

21
Q

What is the best test that can be done to measure the L/S ratio?

22
Q

What is this an image of?

23
Q

What is the precursor to both phospholipids and triacylglycerides?

A

Phosphatidic acid

24
Q

What is the role of surfactant in preventing atelectasis?

25
How can a mutation in ABCA3 lead to RDS?
26
What week of gestation does Lecithen begin to increase markedly?
Wk 32ish
27
What happens to the levels of phosphatidylcholine, phosphatidylglycerol, phosphatidylinotisol and sphingomyelin synthesis during the 32nd to 36th week?
28
How can defects in SP-C lead to RDS?
29
Diacylglycerol combines with CDP-choline to yield?