Nucleotide
Base + Pentose + Mono-/di-/triphosphate
Nucleoside
Base + Pentose
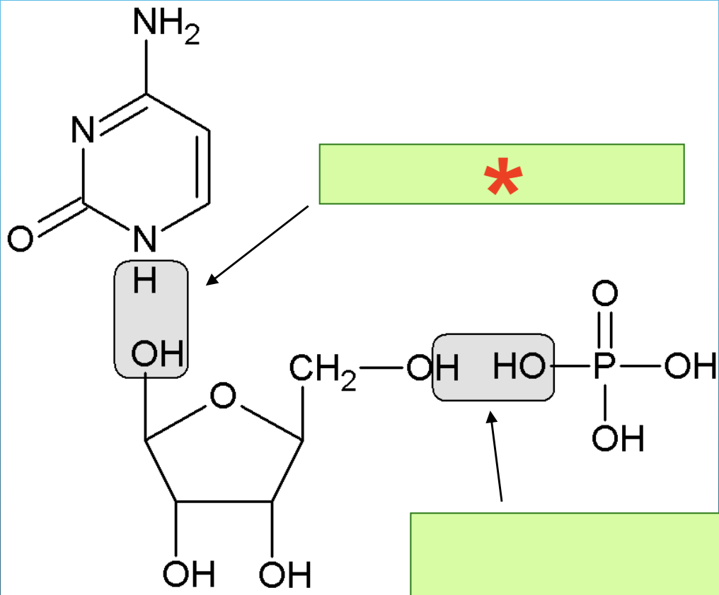
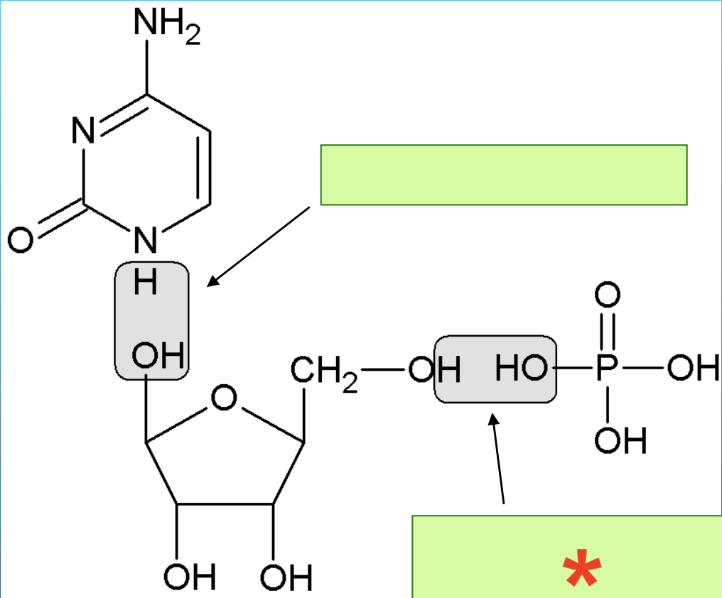
Bond Type

N-glycosidic bond
Bond type

(Phosphate) Ester bond
Examples of Pentose groups in nucleosides
Give the Purine bases

Give the Pyrimidine bases

Uracil binds only to…
Ribose
Thymine binds only to…
Deoxyribose
Cytosine binds only to…
Ribose or Deoxyribose
Examples of purine nucleosides
Examples of Pyrimidine nucleosides
Name the process

Purine Synthesis (De novo)
Compound A

Glucose

Compound F

Inosine monophosphate
(IMP)

Compound J<span>2</span>

Adenosine triphosphate
(ATP)
Which reaction produces this structure?

HCO3- → H2O
Which reaction produces this structure?

Aspartate → Fumarate
Which reaction produces these structures?

N10-formyl-FH4 → FH4
Which reaction produces this structure?

Glutamine → Glutamate
Which reaction produces this structure?

Glycine →
What is shown in this process?

Degradation of a purine nucleotide: AMP
Compound A

Adenosine monophosphate
(AMP)

Compound G

Allantoine
