
RCOOH + PCl3 ⇒ RCOCl + H2O
Definition:
Nomenclature:
Common Names:
Take note that benZYL chloride is NOT an acid chloride




In order for a substitution to occur, there must be a LEAVING GROUP
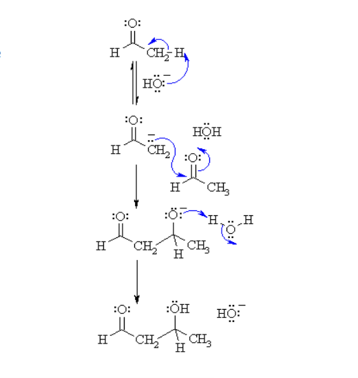
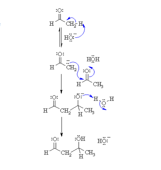
Aldol Condensation
STEPS:

THE MCAT LOVES ALDOL CONDENSATIONS!
The common mistake seems to be for students to lose track of the carbanion carbon—often drawing a product with the two original carbonyl carbons adjacent to one another
To avoid this:
In the product there should always be one carbon in between:
This could also be avoided by counting the total carbons before and after the reaction

An aldehyde or ketone with a double bond between the alpha and beta carbons

Definition:
Nomenclature:
Common Names:


The alpha hydrogen of an aldehyde is more acidic than a comparable alpha hydrogen on a ketone
In an aldehyde, a hydrogen is attached to the carbonyl carbon
However, in the case of a ketone, an –R group is attached to that same carbonyl carbon
Aldehydes and Ketones undergo:
undergo. ..
* nucleophilic SUBSTITUTION
ELECTROPHILES!
with their carbonyl carbon being attacked by Nu:’s

Aldehydes & Ketones
STEPS:

A 1,3-dicarbonyl can undergo an intramolecular hydrogen bond when:
The MCAT loves alpha hydrogens so much, it wouldn’t be right to mention 1,3-dicarbonyls without also pointing out that they have ULTRA ACIDIC alpha protons on the carbon between the two carbonyl carbons



The keto and enol forms are in an equilibrium with one another that strongly favors the keto form at room temperature

Aldehydes
Ketones
In either case, the parent chain must be the longest chain that includes the carbonyl
Aldehydes & Ketones
Surprisingly, substituent aldehydes are given the SAME “-oxo” name as ketone substituents!
There really should not be any confusion, however, because:
Remember that aldehydes and ketones can ONLY be substituents when:
If the aldehyde or ketone is the *TOP* priority functional group:
then the carbonyl carbon is always labeled as C-1


SOLUBILITY:
Alkanes
BOILING POINTS
Alkanes